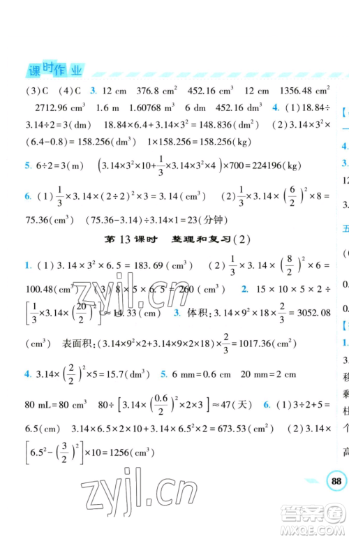
数学这门学科需要同学们多做练习训练,通过练习训练帮助同学们检测知识点掌握程度,同时可以提升同学们的思维能力。今天分享的是宁夏人民教育出版社2023经纶学典课时作业六年级下册数学人教版参考答案,感兴趣的同学快来收藏吧!

答案如下:




































宁夏人民教育出版社2023经纶学典课时作业六年级下册语文人教版参考答案
2023-03-25 13:38:43
六年级各学科难度会增加,这也是同学们小学阶段的最后一年,同学们要把知识巩固好,多做练习拓展思维能力。今天小编为同学们整理了宁夏人民教育出版社2023经纶学典课时作业六年级
宁夏人民教育出版社2023经纶学典课时作业六年级下册数学江苏版参考答案
2023-03-25 13:25:46
今天小编为同学们整理了宁夏人民教育出版社2023经纶学典课时作业六年级下册数学江苏版参考答案,本练习帮助同学们实操运用课堂上所学的知识点,帮助同学们进行查缺补漏,提高数学
江苏人民出版社2023小学数学计算高手六年级下册数学RMJY人教版参考答案
2023-03-25 09:25:34
江苏人民出版社2023小学数学计算高手六年级下册数学RMJY人教版参考答案小编已经为同学们整理好了,本练习针对性训练同学们的数学计算能力,提高同学们的计算水平,帮助同学们更快
江苏人民出版社2023小学数学计算高手六年级下册数学苏教版参考答案
2023-03-25 09:03:47
今天小编为同学们整理了江苏人民出版社2023小学数学计算高手六年级下册数学苏教版参考答案,帮助同学们更好的学习数学,提高数学这门学科的成绩。感兴趣的同学可以来答案圈看看