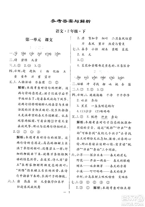
语文这门学科在二年级不难,同学们吧课堂上的知识及课本上的内容吃透,课下多做练习训练,今天小编为同学们整理了阳光出版社2024年春亮点激活提优天天练二年级语文下册通用版山东专版答案,练习完的同学可以来答案圈核对一下答案。

答案如下,仅供参考:






































阳光出版社2024年春亮点激活提优天天练三年级语文下册通用版山东专版答案
2024-06-03 13:31:56
今天小编为同学们整理了阳光出版社2024年春亮点激活提优天天练三年级语文下册通用版山东专版答案,本练习内容丰富,抓题典型,瞄准单元测试、专题测试进行精心设计,提升同学们的语
阳光出版社2024年春亮点激活提优天天练四年级语文下册通用版山东专版答案
2024-06-03 11:38:24
语文这门学科在四年级难度不小,同学们要多花时间,及时回顾所学的内容,提升成绩,今天小编为同学们整理了阳光出版社2024年春亮点激活提优天天练四年级语文下册通用版山东专版答案
阳光出版社2024年春亮点激活提优天天练六年级语文下册通用版答案
2024-06-03 11:05:16
六年级同学们时间会很紧张,想要取得高分同学们可以利用课余时间做练习训练,通过练习巩固知识,今天小编为同学们整理了阳光出版社2024年春亮点激活提优天天练六年级语文下册通用
阳光出版社2024年春亮点激活提优天天练一年级数学下册人教版山东专版答案
2024-06-03 10:29:56
数学这门学科在一年级难度不大,同学们可以通过实操来及时掌握好所学的知识,今天小编为同学们整理了阳光出版社2024年春亮点激活提优天天练一年级数学下册人教版山东专版答案,练