进入小学二年级,同学们要端正好学习态度,在课堂上认真听课,在课下多做练习,今天小编为同学们整理了辽宁教育出版社2023年秋PASS小学学霸作业本二年级语文上册人教版答案,练习完的同学可以来答案圈核对一下答案。

本书的ISBN为9787554920565,答案如下:























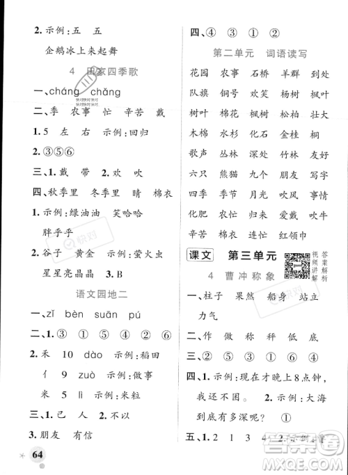
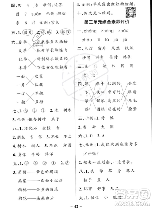
辽宁教育出版社2023年秋PASS小学学霸作业本六年级语文上册人教版答案
2023-09-14 15:38:47
今天小编为同学们整理了辽宁教育出版社2023年秋PASS小学学霸作业本六年级语文上册人教版答案,本练习根据所学的知识进行编写,帮助同学们更好的检测知识掌握程度,提升成绩,练习完
江西教育出版社2023年秋阳光同学课时优化作业二年级语文上册人教版答案
2023-09-14 09:56:02
今天小编为同学们整理了江西教育出版社2023年秋阳光同学课时优化作业二年级语文上册人教版答案,本练习题型丰富,内容全面,帮助同学们通过训练更好的掌握所学的知识点,练习完的同
龙门书局2023年秋黄冈小状元作业本二年级语文上册人教版广东专版参考答案
2023-09-13 11:54:18
今天分享龙门书局2023年秋黄冈小状元作业本二年级语文上册人教版广东专版参考答案,感兴趣的可以看过来。对于二年级的小学生来说,语文科目的学习难度不低,大家要多做练习,这样才
人民教育出版社2023年秋小学同步测控优化设计二年级语文上册人教版答案
2023-09-11 16:21:15
二年级的语文难度还不大,同学们在课上要认真听讲,在课下要多做练习,今天小编为同学们整理了人民教育出版社2023年秋小学同步测控优化设计二年级语文上册人教版答案,练习完的同学