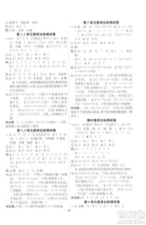
二年级的数学难度不大,同学们想要取得高分可以在课后多做练习,通过训练吃透知识点。今天小编为同学们整理了天津科学技术出版社2023智慧花朵二年级下册数学人教版参考答案,练习完的同学可以来答案圈看看。

答案如下:








天津科学技术出版社2023智慧花朵一年级下册数学人教版参考答案
2023-04-20 15:52:07
一年级的数学难度不大,主要让同学们认识数学这门学科,培养对数学的兴趣。今天小编为同学们整理了天津科学技术出版社2023智慧花朵一年级下册数学人教版参考答案,练习完的同学可
天津科学技术出版社2023智慧花朵三年级下册数学人教版参考答案
2023-04-20 15:17:27
数学这门学科会随着年级的增加而增加难度,同学们想要取得高分可以在课后多做练习,巩固拓展。今天小编为同学们整理了天津科学技术出版社2023智慧花朵三年级下册数学人教版参考
天津科学技术出版社2023智慧花朵二年级下册语文人教版参考答案
2023-04-20 14:58:16
二年级的语文难度不大,同学们想要提升成绩可以在课后多做练习,通过训练吃透知识点。今天小编为同学们整理了天津科学技术出版社2023智慧花朵二年级下册语文人教版参考答案,练习
天津科学技术出版社2023智慧花朵三年级下册语文人教版参考答案
2023-04-20 14:47:30
今天小编为同学们整理了天津科学技术出版社2023智慧花朵三年级下册语文人教版参考答案,本练习帮助同学们巩固课堂上所学的知识点,吃透重难点知识,提升语文这门学科的成绩。练习
2023智慧花朵下册系列答案