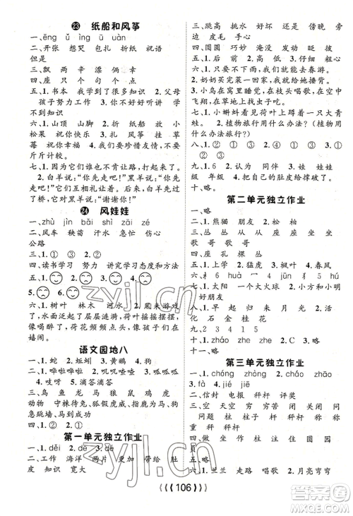
长江少年儿童出版社2022优质课堂导学案二年级上册语文人教版参考答案小编已经为大家收集整理好了,做完本书练习的同学,可以到答案圈查阅参考一下哦!

答案如下:








长江少年儿童出版社2022优质课堂导学案一年级上册数学人教版参考答案
2022-11-28 14:22:48
长江少年儿童出版社2022优质课堂导学案一年级上册数学人教版参考答案小编已经为大家收集整理好了,本书是长江少年儿童出版社出版设计,本书贴合数学教科书进行编写,从内容讲解到
长江少年儿童出版社2022优质课堂导学案一年级上册语文人教版参考答案
2022-11-28 14:02:29
长江少年儿童出版社2022优质课堂导学案一年级上册语文人教版参考答案小编已经为大家收集整理好了,本书是长江少年儿童出版社出版设计,做完练习的同学,可以到答案圈查阅参考一下
人民教育出版社2022人教金学典同步解析与测评学考练二年级上册语文人教版参考答案
2022-11-22 15:07:57
人民教育出版社2022人教金学典同步解析与测评学考练二年级上册语文人教版参考答案小编已经为大家收集整理好了,本书是人民教育出版社出版设计,这本书针对教材的每一课时所学内
长江出版社2022全优课堂作业二年级上册语文人教版参考答案
2022-11-15 16:04:14
长江出版社2022全优课堂作业二年级上册语文人教版参考答案小编已经为大家收集整理好了,本书是长江出版社出版设计,本书帮助同学们及时巩固所学知识,及时发现并解决学习中存在的