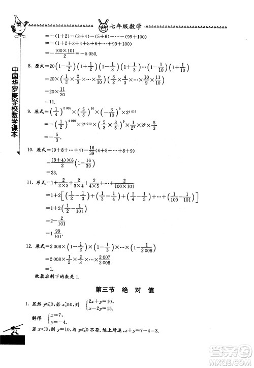
吉林教育出版社2018中国华罗庚学校数学课本七年级参考答案,解读竞赛课程的困惑提高数学思维,感兴趣的来看看

ISBN编号:9787538343373作者:毛定良主编:马传渔书名:中国华罗庚学校数学课本(七年级),本书用最新的理念,最强的阵容,最优的结构给予学生全面的辅导,揭开奥赛的神秘面纱,更多的培养学生数学思维












































































1.将模糊不清晰的知识点和定理梳理一遍,针对每个知识点,选择典型例题来巩固,加深印象。
2.训练计算的精准度,是提高数学成绩的前提,这是硬功夫,应平时加以训练。
3.加强思维能力的培养,提高分析问题和解决问题的能力,这就要求学生在做题是做到举一反三,多问几个为什么,反复推敲,仔细琢磨。
4.培养专研精神,有很多同学遇到难题就退缩,静不下心来攻克难题,半途而废,想要提高数学成绩,必须克服畏难情绪,需要顽强的毅力,有不达目地,誓不罢休的决心。
2018版快捷语文文言文与古诗词阅读周周练七年级答案
2018-10-25 10:49:50
2018版快捷语文文言文与古诗词阅读周周练七年级答案,小编收集在答案圈了,感兴趣的学生可以及时做好答案的检查与核对2018版快捷语文文言文与古诗词阅读周周练七年级答案本书是
2018版金牌阅读初中课外文言文阅读训练七年级答案
2018-10-25 09:28:33
2018版金牌阅读初中课外文言文阅读训练七年级答案,小编收集在答案圈了,喜欢的学生快来看看吧2018版金牌阅读初中课外文言文阅读训练七年级答案本书是南方出版社出版的,是第4次
2018新版人教版新课程自主学习与测评初中历史七年级上册答案
2018-10-25 08:35:20
2018新版人教版新课程自主学习与测评初中历史七年级上册答案,小编收集在答案圈了,感兴趣的学生可以及时查看2018新版人教版新课程自主学习与测评初中历史七年级上册答案ISBN97
2018版实验班初中英语阅读高手时文快递组合训练七年级上参考答案
2018-10-25 08:20:43
2018版实验班初中英语阅读高手时文快递组合训练七年级上参考答案,小编已经整理在答案圈了,感兴趣的来看看2018版实验班初中英语阅读高手时文快递组合训练七年级上参考答案ISBN
吉林教育出版社练习册答案