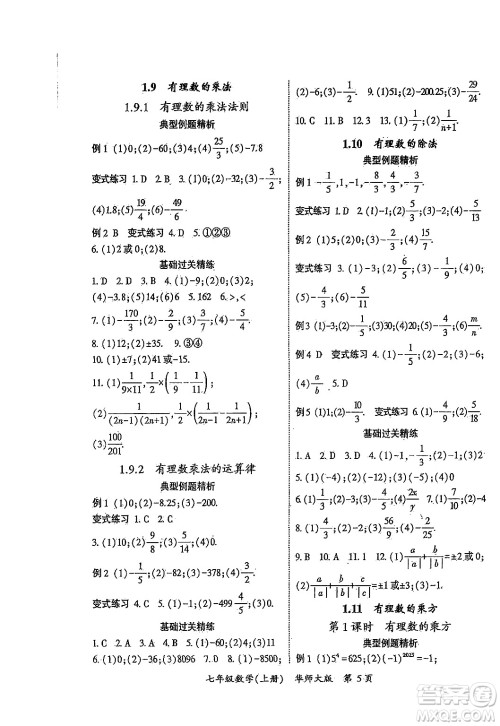
今天小编为同学们整理了吉林教育出版社2024年秋启航新课堂七年级数学上册华师版答案,本练习可以帮助同学们高效的巩固所学的知识,发现这个阶段的不足,同学们可以通过练习拓展知识,提升成绩,本书的ISBN为9787538380163,练习完的同学可以来答案圈核对一下答案。

答案如下,仅供参考:































吉林教育出版社2024年秋启航新课堂七年级数学上册北师大版答案
2025-01-06 11:53:38
今天小编为同学们整理了吉林教育出版社2024年秋启航新课堂七年级数学上册北师大版答案,本练习由基础知识和拔尖相结合,题目及解析全面,帮助同学们解决学习中的困点、难点、重点
吉林教育出版社2024年秋启航新课堂七年级数学上册人教版答案
2025-01-06 11:48:57
今天小编为同学们整理了吉林教育出版社2024年秋启航新课堂七年级数学上册人教版答案,本练习针对课堂上内容进行吸收消化,让同学们把所学知识运用到做题里面,让同学们更好的检测
新疆青少年出版社2024年秋神龙教育期末考向标全程跟踪突破测试卷七年级数学上册鲁教版答案
2025-01-03 14:50:27
今天小编为同学们整理了新疆青少年出版社2024年秋神龙教育期末考向标全程跟踪突破测试卷七年级数学上册鲁教版答案,本练习帮助同学们迅速提升练习能力,逐步提升同学们的综合运
新疆青少年出版社2024年秋神龙教育期末考向标全程跟踪突破测试卷七年级数学上册青岛版答案
2025-01-03 14:29:16
七年级同学们接触了很多新科目,同学们想要取得高分可以在课下多做练习,通过训练进行拓展,今天小编为同学们整理了新疆青少年出版社2024年秋神龙教育期末考向标全程跟踪突破测试