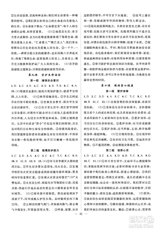
七年级同学们新增加了很多学科,同学们可以在课下多做练习,考察对所学知识点的掌握程度,今天小编为同学们整理了长江少年儿童出版社2024年秋优质课堂导学案课堂作业七年级道德与法治上册人教版答案,练习完的同学可以来答案圈核对一下答案。

答案如下,仅供参考:
















长江少年儿童出版社2024年秋优质课堂导学案课堂作业七年级语文上册人教版答案
2024-12-04 10:01:55
今天小编为同学们整理了长江少年儿童出版社2024年秋优质课堂导学案课堂作业七年级语文上册人教版答案,本书帮助学生在课后可以进行相应的练习,对每课学习的知识进行及时巩固,提
长江少年儿童出版社2024年秋优质课堂导学案课堂作业七年级数学上册人教版答案
2024-12-04 09:30:43
今天小编为同学们整理了长江少年儿童出版社2024年秋优质课堂导学案课堂作业七年级数学上册人教版答案,本练习帮助同学们形成系统化的知识体系,及迅速提升同学们的应考能力,便于
广东经济出版社2024年秋全优点练课计划七年级道德与法治上册人教版答案
2024-12-02 17:14:21
今天小编为同学们整理了广东经济出版社2024年秋全优点练课计划七年级道德与法治上册人教版答案,本练习可以将课堂上的教学引向更深、更广的理解与应用,引发更有意义的学习,促进
北京师范大学出版社2024年秋课堂精练七年级道德与法治上册通用版答案
2024-11-28 15:08:42
道德与法治这门学科在七年级难度不大,同学们可以通过训练来实操掌握课堂上所学的知识点,提升这门学科的成绩,今天小编为同学们整理了北京师范大学出版社2024年秋课堂精练七年级