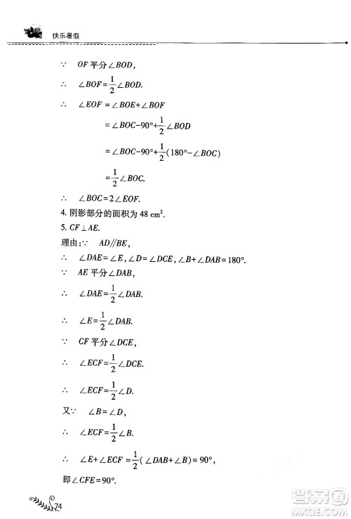
进入暑假,通过暑假作业的练习,同学们可以逐渐适应未来学习的要求,提高同学们的综合素质和创新能力,提升成绩,今天小编为同学们整理了山西教育出版社2024年快乐暑假七年级数学人教版答案,练习完的同学可以来答案圈核对一下答案。

答案如下,仅供参考:


























山西教育出版社2024年快乐暑假八年级英语人教版答案
2024-08-14 08:53:12
今天小编为同学们整理了山西教育出版社2024年快乐暑假八年级英语人教版答案,本练习巩固课堂学习内容、培养学生良好的学习习惯、提高学业成绩、掌握学习方法、增强学生对学科
中原农民出版社2024年假期园地暑假作业七年级数学华师版答案
2024-08-13 17:53:12
今天小编为同学们整理了中原农民出版社2024年假期园地暑假作业七年级数学华师版答案,本练习层次性的作业设计体系,进而为提高作业设计质量、减轻学生过重作业负担提供新的思考
延边人民出版社2024年励耘精品快乐暑假八年级数学浙教版答案
2024-08-13 17:10:22
今天小编为同学们整理了延边人民出版社2024年励耘精品快乐暑假八年级数学浙教版答案,本练习激发同学们的学习兴趣、铺垫学习背景、帮助记忆,同时提高熟练性,帮助学生更好地理解
延边人民出版社2024年励耘精品快乐暑假七年级数学浙教版答案
2024-08-13 16:51:27
今天小编为同学们整理了延边人民出版社2024年励耘精品快乐暑假七年级数学浙教版答案,本练习除了巩固训练的功能外,更具有激发兴趣、引导预习、促进理解、知识整理、习惯养成等