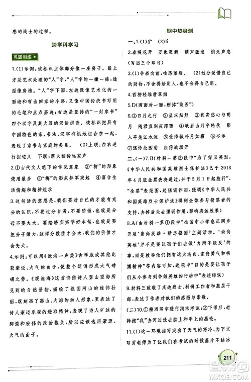
七年级的语文难度还不是很大,同学们可以从现在开始打好基础,巩固好所学知识,今天小编为同学们整理了广西教育出版社2023年秋新课程学习与测评同步学习七年级语文上册通用版答案,练习完的同学可以来答案圈核对一下答案。

本书的ISBN为9787549522545,答案如下:


































广西教育出版社2023年秋新课程学习与测评同步学习九年级数学全一册人教版答案
2023-10-08 09:21:52
今天小编为同学们整理了广西教育出版社2023年秋新课程学习与测评同步学习九年级数学全一册人教版答案,本练习将知识结合到练习当中,让同学们可以通过练习来巩固好知识,提升成绩
广西教育出版社2023年秋新课程学习与测评同步学习九年级数学全一册湘教版答案
2023-10-08 09:06:52
今天小编为同学们整理了广西教育出版社2023年秋新课程学习与测评同步学习九年级数学全一册湘教版答案,本练习内容丰富,题型全面,可以帮助同学们更好的掌握所学的知识,提升数学成
广西教育出版社2023年秋新课程学习与测评同步学习八年级数学上册湘教版答案
2023-10-08 08:52:11
数学这门学科的难度不小,需要同学们多花时间,通过练习来巩固知识,拓展思维能力,今天小编为同学们整理了广西教育出版社2023年秋新课程学习与测评同步学习八年级数学上册湘教版答
广西教育出版社2023年秋新课程学习与测评同步学习七年级数学上册湘教版答案
2023-10-08 08:32:28
七年级的数学难度会有所增加,同学们要重视起来,在课下要多做练习,巩固知识点,今天小编为同学们整理了广西教育出版社2023年秋新课程学习与测评同步学习七年级数学上册湘教版答案