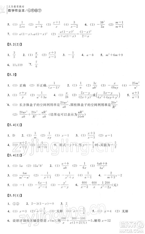
浙江教育出版社2022数学作业本七年级下册ZH浙教版答案小编为同学们整理好了,本书是由浙江教育出版社出版发行,配合义务教育教材编写,围绕教材编写,以提高学生学习兴趣为目的,通过多题型训练让学生能更快的掌握每日所学的知识,对这本书感兴趣的小伙伴们快来答案圈看看吧!

本书系列的其他年级和科目的答案小编也有整理,大家可以在答案圈对应的年级搜索查看。
















浙江教育出版社2021数学作业本九年级上册人教版答案
2021-11-10 11:03:26
浙江教育出版社2021数学作业本九年级上册人教版答案为同学们整理好了,本书是由浙江教育出版社出版发行,配合教育教材编写,从基础练到综合练,覆盖所有常考知识点,章末复习查漏补缺
浙江教育出版社2021数学作业本九年级上册ZH浙教版答案
2021-11-10 09:23:15
浙江教育出版社2021数学作业本九年级上册ZH浙教版答案小编为同学们整理好了,本书是由浙江教育出版社出版发行,配合教育教材编写,专题考点与教材同步,边学边练,夯实基础,融会贯通,轻
浙江教育出版社2021数学作业本八年级上册人教版答案
2021-11-10 08:42:26
浙江教育出版社2021数学作业本八年级上册人教版答案为同学们整理好了,本书是由浙江教育出版社出版发行,配合教育教材编写,对课本知识点进行回顾,讲明白,学透彻,将教材知识点进行全
浙江教育出版社2021数学作业本八年级上册ZH浙教版答案
2021-11-09 16:46:07
浙江教育出版社2021数学作业本八年级上册ZH浙教版答案小编为同学们整理好了,本书是由浙江教育出版社出版发行,配合教育教材编写,从重难点、解题方法、易错点、易混点、提升点、
浙江教育出版社2022作业本下册系列答案