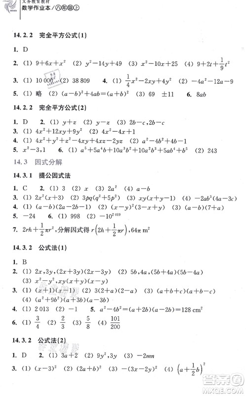
浙江教育出版社2021数学作业本八年级上册人教版答案为同学们整理好了,本书是由浙江教育出版社出版发行,配合教育教材编写,对课本知识点进行回顾,讲明白,学透彻,将教材知识点进行全面细致解读,突出逻辑性、规律性、技巧性,需要核对答案的同学可以来看看哦!

作业本系列其他年级和科目的参考答案小编也有整理,大家可以在答案圈对应的年级搜索查看。
















浙江教育出版社2021道德与法治作业本八年级上册人教版答案
2021-11-10 08:30:32
浙江教育出版社2021道德与法治作业本八年级上册人教版答案小编为同学们整理好了,本书是由浙江教育出版社出版发行,配合教育教材编写,遵循新课标对每个学段的目标要求,完全与课堂
浙江教育出版社2021语文作业本八年级上册人教版答案
2021-11-09 17:01:06
浙江教育出版社2021语文作业本八年级上册人教版答案小编为同学们整理好了,本书是由浙江教育出版社出版发行,配合教育教材编写,内容立足于教材,贴近课堂,体现教学的过程与方法,完全
浙江教育出版社2021数学作业本八年级上册ZH浙教版答案
2021-11-09 16:46:07
浙江教育出版社2021数学作业本八年级上册ZH浙教版答案小编为同学们整理好了,本书是由浙江教育出版社出版发行,配合教育教材编写,从重难点、解题方法、易错点、易混点、提升点、
浙江教育出版社2021数学作业本七年级上册人教版答案
2021-11-09 15:07:07
浙江教育出版社2021数学作业本七年级上册人教版答案为同学们整理好了,本书是由浙江教育出版社出版发行,配合教育教材编写,帮助学生在课余时间熟悉并掌握知识点,做练习题巩固基础
浙江教育出版社作业本系列答案