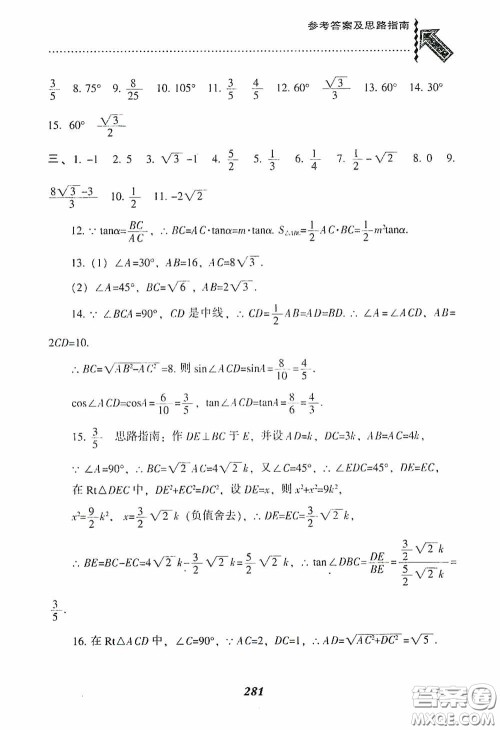
小编这次收集整理的是2020尖子生题库九年级数学下册人教版的答案,使用这本练习册的可以来检查一下,看看自己做的对不对,不要直接照抄答案哦,当然其他学科的和其他年级的直接站内搜书名就好了!

答案如下,仅供参考!



































































































辽宁教育出版社2020尖子生题库最新升级九年级语文下册人教版答案
2020-05-19 17:52:06
小编这次收集整理的是辽宁教育出版社出版的尖子生题库最新升级九年级语文下册人教版的答案,使用这本练习册的可以来检查一下,看看自己做的对不对,不要直接照抄答案,其他学科的和
辽宁教育出版社2020尖子生题库最新升级九年级英语下册外研版答案
2020-05-19 17:48:33
小编这次收集整理的是2020尖子生题库最新升级九年级英语下册外研版的答案,这个系列的小编收集整理了很多,做完了之后可以来检查一下,看看自己做的对不对,不要直接照抄答案。辽宁
辽宁教育出版社2020尖子生题库最新升级八年级数学下册人教版答案
2020-05-19 17:38:45
小编这次收集整理的是2020尖子生题库最新升级八年级数学下册人教版的答案,使用这本练习册的可以做完了之后来检查一下自己做的对不对,不要直接照抄答案,其他学科的也有收集整理
辽宁教育出版社2020尖子生题库最新升级八年级英语下册人教版答案
2020-05-19 17:22:42
小编这次收集整理的是2020尖子生题库最新升级八年级英语下册人教版的答案,使用这本练习册的学生还是蛮多的,这个系列的最新升级版也不错,做完了之后可以来检查一下,看看自己做的