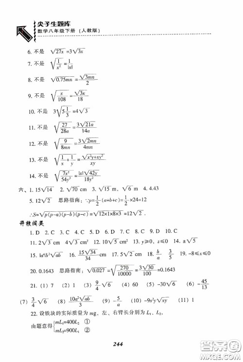
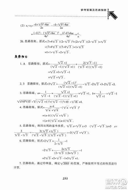
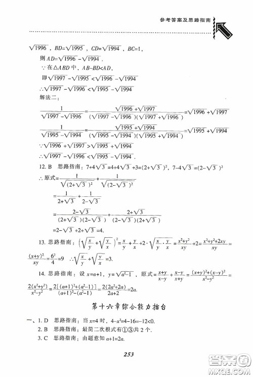
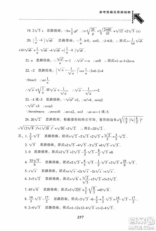
小编这次收集整理的是2020尖子生题库最新升级八年级数学下册人教版的答案,使用这本练习册的可以做完了之后来检查一下自己做的对不对,不要直接照抄答案,其他学科的也有收集整理,直接站内搜书名吧!

答案如下,仅供参考!
































































































辽宁教育出版社2020尖子生题库最新升级八年级英语下册人教版答案
2020-05-19 17:22:42
小编这次收集整理的是2020尖子生题库最新升级八年级英语下册人教版的答案,使用这本练习册的学生还是蛮多的,这个系列的最新升级版也不错,做完了之后可以来检查一下,看看自己做的
辽宁教育出版社2020尖子生题库最新升级八年级英语下册外研版答案
2020-05-19 17:16:01
小编这次收集整理的是2020尖子生题库最新升级八年级英语下册外研版的答案,使用这本练习册的可以做完了之后来检查一下,看看自己做的对不对吧,其他学科的直接站内搜书名!辽宁教育
2019年尖子生题库数学六年级上册R版人教版参考答案
2019-11-20 13:36:23
2019年尖子生题库数学六年级上册R版人教版参考答案ISBN编号9787554924464小编已经整理好发布在答案圈了,感兴趣的来看看吧!2019年尖子生题库数学六年级上册R版人教版参考答案
2019年尖子生题库语文六年级上册部编人教版参考答案
2019-11-20 13:31:08
2019年尖子生题库语文六年级上册部编人教版参考答案ISBN编号9787554924754小编已经整理好发布在答案圈了,感兴趣的来看看吧!2019年尖子生题库语文六年级上册部编人教版参考答