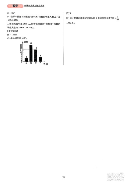
四川教育出版社2025年春新课程实践与探究丛书九年级数学下册华师版答案小编已经为大家收集整理好了,多做数学题能培养系统性分析能力,结合实践优化解题流程,巩固知识根基,从而轻松驾驭各类试题,练习完的同学们可以来答案圈核对一下答案。

答案如下,仅供参考:
































四川教育出版社2025年春新课程实践与探究丛书九年级英语下册人教版答案
2025-05-27 14:58:57
随着英语难度增加,同学们要养成词汇积累习惯,结合重点突破和整体复习,获得持续性进步,四川教育出版社2025年春新课程实践与探究丛书九年级英语下册人教版答案小编已经为大家收集
四川教育出版社2025年春新课程实践与探究丛书八年级地理下册粤人版答案
2025-05-27 14:43:57
四川教育出版社2025年春新课程实践与探究丛书八年级地理下册粤人版答案小编已经为大家收集整理好了,同学们在练习过程中要养成错题归因习惯,不仅要记录正确答案,更要分析错误类
四川教育出版社2025年春新课程实践与探究丛书八年级地理下册商务星球版答案
2025-05-27 14:28:25
四川教育出版社2025年春新课程实践与探究丛书八年级地理下册商务星球版答案小编已经为大家收集整理好了,练习包含基础知识应用题和综合拓展题两个板块,既保证基本概念扎实掌握
四川教育出版社2025年春新课程实践与探究丛书八年级地理下册人教版答案
2025-05-27 14:10:08
四川教育出版社2025年春新课程实践与探究丛书八年级地理下册人教版答案小编已经为大家收集整理好了,通过本练习的完成情况,教师将识别班级整体存在的共性问题和个别同学的特殊