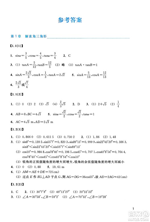
今天小编为同学们整理了浙江教育出版社2025年春数学作业本九年级数学下册浙教版答案,数学这门学科要求同学们具备灵活的思维能力,而高分则可以通过针对性练习来拓展和巩固所学的知识,本书的ISBN为9787572204210,练习完的同学们可以来答案圈核对一下答案。

答案如下,仅供参考:








浙江教育出版社2025年春数学作业本九年级数学下册通用版答案
2025-03-10 14:14:07
今天小编为同学们整理了浙江教育出版社2025年春数学作业本九年级数学下册通用版答案,同学们若想在学科上取得显著进步,不仅应借助多样化的练习来巩固基础知识,还应积极尝试拓展
浙江教育出版社2025年春数学作业本八年级数学下册浙教版答案
2025-03-10 14:02:21
八年级数学的难度将有所提升,同学们若想在这门学科上取得进步,不仅应通过多样化的练习来巩固基础知识,还可以尝试拓展不同类型的题目,以全面提升解题能力和思维灵活性,今天小编为
浙江教育出版社2025年春数学作业本八年级数学下册通用版答案
2025-03-10 13:27:41
今天小编为同学们整理了浙江教育出版社2025年春数学作业本八年级数学下册通用版答案,本练习在设计上层次分明、循序渐进,不仅重视基础知识的巩固,还强调综合运用能力的提升,其目
浙江教育出版社2025年春数学作业本七年级数学下册通用版答案
2025-03-10 11:56:32
今天小编为同学们整理了浙江教育出版社2025年春数学作业本七年级数学下册通用版答案,此次练习在设计上具有清晰的层次性和循序渐进的进阶特点,不仅重视学习者基础知识的巩固,更