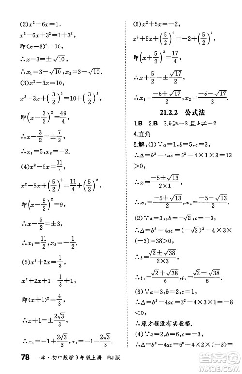
进入九年级,数学科目的重要性愈发显现出来,同学们一定要把握时间,多做题目多巩固,这样成绩才会好,今天小编为同学们整理了湖南教育出版社2024年秋一本同步训练九年级数学上册人教版辽宁专版答案,练习完的同学可以来答案圈核对一下答案。

答案如下,仅供参考:








































湖南教育出版社2024年秋一本同步训练九年级数学上册人教版重庆专版答案
2024-11-13 09:13:53
今天小编为同学们整理了湖南教育出版社2024年秋一本同步训练九年级数学上册人教版重庆专版答案,本练习帮助同学们实操运用课本上的知识,检测知识掌握程度,帮助同学们查漏补缺,练
湖南教育出版社2024年秋一本同步训练九年级英语上册外研版答案
2024-11-13 09:09:52
初中英语难度会有所增加,同学们在课下要通过练习训练来查验知识掌握程度,同时可以拓展题型和词汇,今天小编为同学们整理了湖南教育出版社2024年秋一本同步训练九年级英语上册外
湖南教育出版社2024年秋一本同步训练八年级地理上册中图版陕西专版答案
2024-11-13 09:07:21
地理这门学科在八年级难度不小,同学们想要取得高分在课下要多做练习,通过训练回顾知识点,今天小编为同学们整理了湖南教育出版社2024年秋一本同步训练八年级地理上册中图版陕西
湖南教育出版社2024年秋一本同步训练八年级地理上册人教版答案
2024-11-13 08:58:13
进入初中同学们新增了很多学科,同学们要平衡好各科,在课下多做练习回顾复习,提升地理这门学科的成绩,今天小编为同学们整理了湖南教育出版社2024年秋一本同步训练八年级地理上册