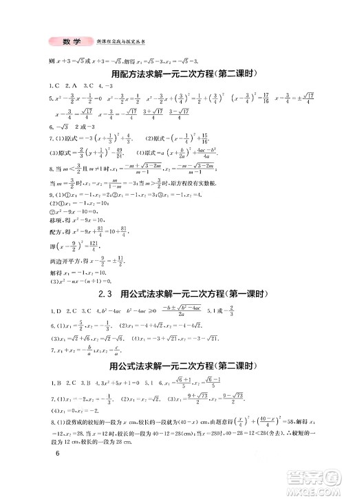
今天小编为同学们整理了四川教育出版社2024年秋新课程实践与探究丛书九年级数学上册北师大版答案,本练习立足教材,注重基础,突出逻辑性、规律性、技巧性,,通过层层递进的形式从基础到拓展提高全面提高学生的学习能力,本书的ISBN为9787540861056,练习完的同学可以来答案圈核对一下答案。

答案如下,仅供参考:
















四川教育出版社2024年秋新课程实践与探究丛书九年级数学上册人教版答案
2024-11-09 08:58:48
今天小编为同学们整理了四川教育出版社2024年秋新课程实践与探究丛书九年级数学上册人教版答案,本练习通过自主练习、互动练习、反馈练习全面强化学生的学习,通过每个阶段的测
四川教育出版社2024年秋新课程实践与探究丛书九年级英语上册人教版答案
2024-11-09 08:56:19
今天小编为同学们整理了四川教育出版社2024年秋新课程实践与探究丛书九年级英语上册人教版答案,本练习与教材零距离高度契合,和教学紧密融为一体,采用科学的学习模式,对学生提升
四川教育出版社2024年秋新课程实践与探究丛书八年级地理上册粤人版答案
2024-11-08 18:04:20
今天小编为同学们整理了四川教育出版社2024年秋新课程实践与探究丛书八年级地理上册粤人版答案,本书主要汇集了各年级学生所学到的各种课外知识点,结合学生本阶段认知,对不同讲
四川教育出版社2024年秋新课程实践与探究丛书八年级地理上册人教版答案
2024-11-08 17:48:01
今天小编为同学们整理了四川教育出版社2024年秋新课程实践与探究丛书八年级地理上册人教版答案,本书帮助学生及时巩固新授课知识,夯实双基,并引导学生将知识转化为能力,逐步提升