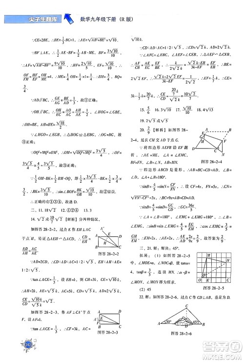
数学这门学科在九年级难度不小,同学们要多花时间,通过训练来巩固好所学的知识点,提升成绩,今天小编为同学们整理了辽宁教育出版社2024年春尖子生题库九年级数学下册人教版答案,练习完的同学可以来答案圈核对一下答案。

答案如下,仅供参考:








































































辽宁教育出版社2024年春尖子生题库九年级英语下册人教版答案
2024-05-10 16:16:37
进入九年级,英语这门学科的难度不小,同学们在课下要多记单词多做练习,掌握好所学的知识,今天小编为同学们整理了辽宁教育出版社2024年春尖子生题库九年级英语下册人教版答案,练习
辽宁教育出版社2024年春尖子生题库八年级语文下册通用版答案
2024-05-10 15:55:08
语文这门学科在初中难度不小,同学们可以通过训练来回顾知识点,提升这门学科的成绩,今天小编为同学们整理了辽宁教育出版社2024年春尖子生题库八年级语文下册通用版答案,练习完的
辽宁教育出版社2024年春尖子生题库六年级数学下册北师大版答案
2024-05-10 15:44:38
进入六年级,数学这门学科的难度不小,同学们可以通过实操来运用所学的知识点,提升成绩,今天小编为同学们整理了辽宁教育出版社2024年春尖子生题库六年级数学下册北师大版答案,练习
辽宁教育出版社2024年春尖子生题库五年级数学下册北师大版答案
2024-05-10 15:35:15
数学这门学科在五年级难度不小,同学们可以通过实操来及时回顾所学的知识点,提升成绩,今天小编为同学们整理了辽宁教育出版社2024年春尖子生题库五年级数学下册北师大版答案,练习