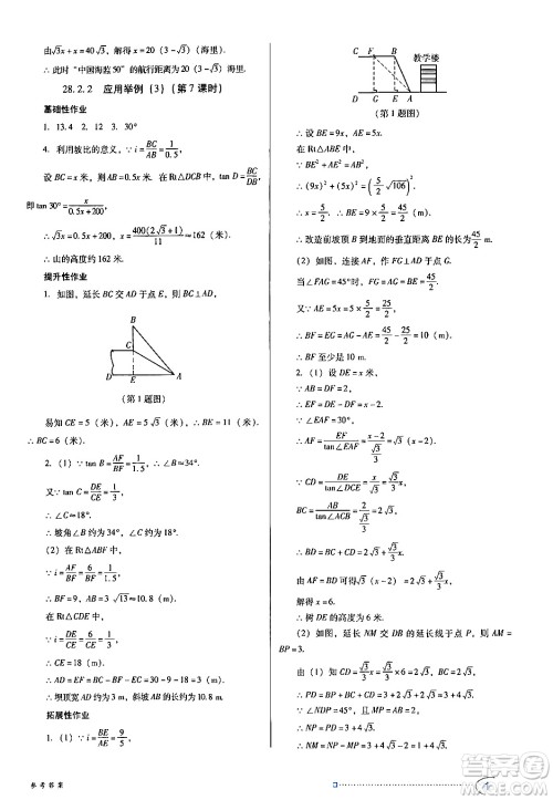
进入九年级,数学这门学科的难度不小,同学们要通过练习来及时回顾所学的内容,提升成绩,今天小编为同学们整理了广东教育出版社2024年春南方新课堂金牌学案九年级数学人教版答案,练习完的同学可以来答案圈核对一下答案。

答案如下,仅供参考:




















广东教育出版社2024年春南方新课堂金牌学案九年级英语人教版答案
2024-03-16 16:07:55
英语这门学科在九年级难度不小,同学们要重视起来,在课下要多花时间,巩固好知识点,今天小编为同学们整理了广东教育出版社2024年春南方新课堂金牌学案九年级英语人教版答案,练习完
广东教育出版社2024年春南方新课堂金牌学案八年级数学人教版答案
2024-03-16 15:56:17
今天小编为同学们整理了广东教育出版社2024年春南方新课堂金牌学案八年级数学人教版答案,本练习倡导同步提优的理念,与相应版本教材完全配套,与教学课时基本同步,提升成绩,练习完
安徽师范大学出版社2024年春名校课堂九年级数学下册人教版陕西专版答案
2024-03-16 15:40:24
今天小编为同学们整理了安徽师范大学出版社2024年春名校课堂九年级数学下册人教版陕西专版答案,本练习与例题匹配,使学生逐步掌握重要知识点,从而提高解题能力,达到事半功倍的效
上海科学技术出版社2024年春初中数学同步练习九年级数学下册沪科版答案
2024-03-15 09:05:22
今天小编为同学们整理了上海科学技术出版社2024年春初中数学同步练习九年级数学下册沪科版答案,本练习巧练消除薄弱环节,逐步提升解题能力,典例分析解题思路,精准总结规律方法,练