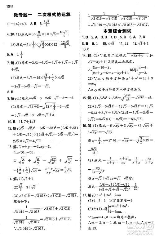
今天小编为同学们整理了湖南教育出版社2023年秋一本同步训练九年级数学上册华东师大版答案,本练习根据所学的知识进行编写,将知识结合到练习当中,让同学们更好的理解知识,练习完的同学可以来答案圈核对一下答案。

本书的ISBN为9787553949352,答案如下:
























































湖南教育出版社2023年秋一本同步训练八年级数学上册华东师大版答案
2023-10-23 14:39:12
今天小编为同学们整理了湖南教育出版社2023年秋一本同步训练八年级数学上册华东师大版答案,本练习根据教材知识编写,可以让同学们在巩固基础的同时进行拓展练习,提升成绩,练习完
湖南教育出版社2023年秋一本同步训练七年级数学上册华东师大版答案
2023-10-23 14:20:14
今天小编为同学们整理了湖南教育出版社2023年秋一本同步训练七年级数学上册华东师大版答案,本练习将所学的知识结合到练习当中,让同学们在课下可以通过训练来巩固好所学的知识
湖南教育出版社2024年秋一本同步训练九年级英语全一册上人教版答案
2023-10-23 14:09:19
九年级的英语难度不小,同学们在课下要多花时间,多记单词多做练习,巩固好知识,今天小编为同学们整理了湖南教育出版社2024年秋一本同步训练九年级英语全一册上人教版答案,练习完的
湖南教育出版社2023年秋一本同步训练七年级英语上册人教版答案
2023-10-23 13:56:50
今天小编为同学们整理了湖南教育出版社2023年秋一本同步训练七年级英语上册人教版答案,本练习内容丰富,题型全面,可以帮助同学们更好的理解所学的知识点,提升这门学科的成绩,练习