在初三下学期,模考是非常重要的考试,大家务必要珍惜机会,充分利用好它们,这样才能拿到好成绩。小编分享2023年绍兴城关六校联考中考三模数学试题答案,感兴趣的可以看过来。此外,答案仅供参考哦!

答案如下:



























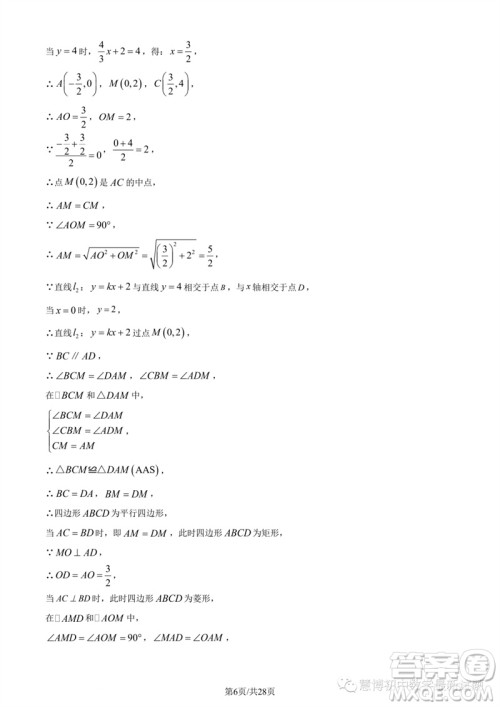
2023年石家庄市三区联考中考三模数学试题答案
2023-06-14 15:25:04
时间到了六月中旬,初三生的备考时间不多了,大家的做好规划,努力提高自己的成绩。小编分享2023年石家庄市三区联考中考三模数学试题答案,感兴趣的可以看过来,希望能帮到你们。注意
2023年北京市平谷区中考二模地理试卷答案
2023-06-14 08:41:42
小编整理了2023年北京市平谷区中考二模地理试卷答案,感兴趣的可以看过来。对于初三年级的学生来说,模拟考试是有效查漏补缺的方法,大家得把握住机会,努力提高自己的成绩。注意,答
2023年北京市顺义区中考二模地理试卷答案
2023-06-13 18:05:25
我们知道,初三年级的备考不容易,大家要坚持到最后,千万不能在考前松懈。小编整理了2023年北京市顺义区中考二模地理试卷答案,感兴趣的可以看过来,希望能帮助你们提高成绩。此外,答
2023年太原市中考二模语文试卷答案
2023-06-13 17:49:04
今天分享2023年太原市中考二模语文试卷答案,感兴趣的可以看过来。对于初三生来说,临近中考的时间总是过得特别快,大家得珍惜模拟考试机会,努力查漏补缺,这样才能拿到好成绩。注意