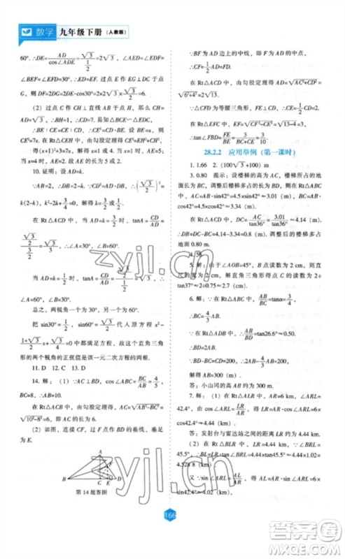
在初三下学期,数学科目的成绩是很重要的,大家务必要把握时间,努力训练各个题型,争取拿到高分。今天整理了辽海出版社2023新课程数学能力培养九年级下册人教版参考答案,感兴趣的可以收藏起来。注意,答案不能照抄哦。

答案如下:


















































辽海出版社2023新课程英语能力培养九年级下册人教版参考答案
2023-03-30 10:49:59
小编分享辽海出版社2023新课程英语能力培养九年级下册人教版参考答案,感兴趣的可以自行查阅。到了初三下学期,大家得调整好状态,积极做好时间规划,争取提高各科的成绩。此外,这份
辽海出版社2023新课程物理能力培养九年级下册人教版参考答案
2023-03-30 10:36:48
今天整理了辽海出版社2023新课程物理能力培养九年级下册人教版参考答案,欢迎大家积极查阅。这是为初三年级学生搜集的练习册答案,如果你正在做相关题目,那么它可以帮助到你。此
辽海出版社2023新课程数学能力培养九年级下册北师大版参考答案
2023-03-30 10:25:45
在初三下学期,学生们的备考时间很紧张,大家得努力提高短板科目的成绩,这样才能顺利升学。小编整理了辽海出版社2023新课程数学能力培养九年级下册北师大版参考答案,感兴趣的看过
辽海出版社2023新课程化学能力培养九年级下册人教版参考答案
2023-03-30 10:11:42
在初三年级,学生们要留意各科的学习情况,尤其是自己的短板科目,务必要及时提高成绩,千万别拖延了。今天整理了辽海出版社2023新课程化学能力培养九年级下册人教版参考答案,希望能