上海嘉定区2021-2022高一上期末考试数学试卷及答案小编已经收集整理好了,做好每个阶段的总结学习,全面检验自己的复习情况做好查漏补缺学习,需要核对答案的伙伴可以来答案圈查看!

本次考试的其他科目小编也有收集整理,需要的伙伴可以来答案对应的年级搜索查看!











上海杨浦区2021-2022高一上期末考试数学试卷及答案
2022-01-07 15:46:55
上海杨浦区2021-2022高一上期末考试数学试卷及答案小编已经收集整理好了,做好每个阶段的总结学习,全面检验自己的复习情况做好查漏补缺学习,需要核对答案的伙伴可以来答案圈查
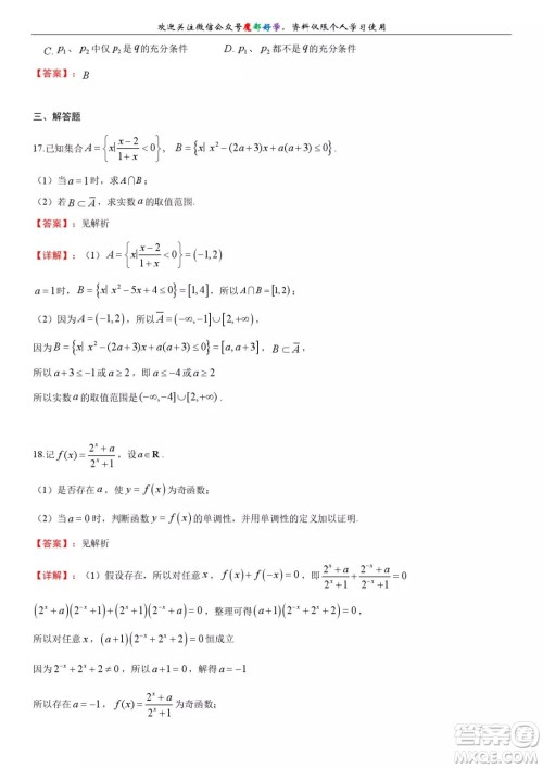
江西省五市九校协作体2022届高三第一次联考理科数学试卷及答案
2022-01-07 08:57:42
江西省五市九校协作体2022届高三第一次联考理科数学试卷及答案小编已经收集整理好了,做好每个阶段的总结学习,全面检验自己的复习情况做好查漏补缺学习,需要核对答案的伙伴可以
江西省五市九校协作体2022届高三第一次联考文科数学试卷及答案
2022-01-07 08:50:01
江西省五市九校协作体2022届高三第一次联考文科数学试卷及答案小编已经收集整理好了,做好每个阶段的总结学习,全面检验自己的复习情况做好查漏补缺学习,需要核对答案的伙伴可以
东北师大附中2019级高三年级第三次摸底考试理科数学试卷及答案
2022-01-05 10:43:24
东北师大附中2019级高三年级第三次摸底考试理科数学试卷及答案小编已经为大家收集整理好了,有喜欢数学的同学,考完试可以到答案圈核对一下答案哟,希望答案圈可以帮助到大家提升