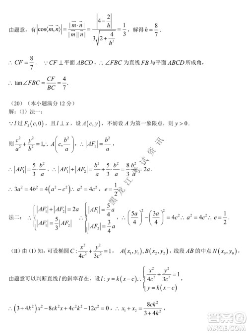
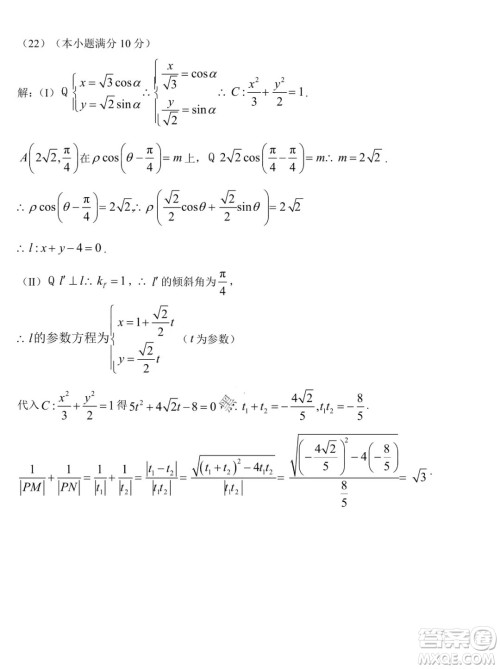
东北师大附中2019级高三年级第三次摸底考试理科数学试卷及答案小编已经为大家收集整理好了,有喜欢数学的同学,考完试可以到答案圈核对一下答案哟,希望答案圈可以帮助到大家提升成绩!

答案如下:
















东北师大附中2019级高三年级第三次摸底考试语文试卷及答案
2022-01-05 10:33:13
东北师大附中2019级高三年级第三次摸底考试语文试卷及答案小编已经为大家收集整理好了,需要核对答案的同学,可以到答案圈进行查阅参考哦,希望可以帮助到大家!东北师大附中2019级
东北师大附中2019级高三年级第三次摸底考试英语试卷及答案
2022-01-05 10:23:03
东北师大附中2019级高三年级第三次摸底考试英语试卷及答案已经为大家收集整理好了,需要答案的同学,可以自行到答案圈进行查阅参考哦!东北师大附中2019级高三年级第三次摸底考试