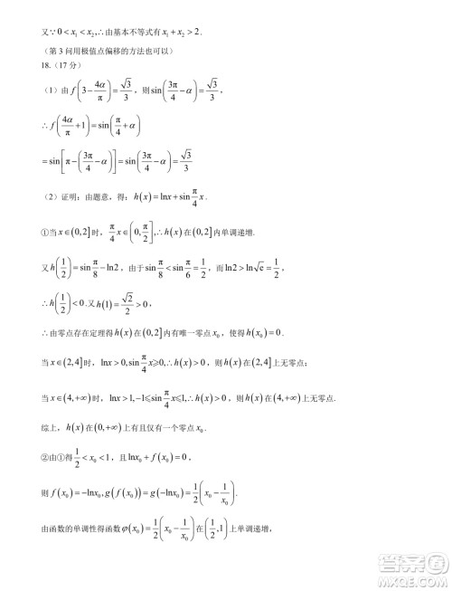
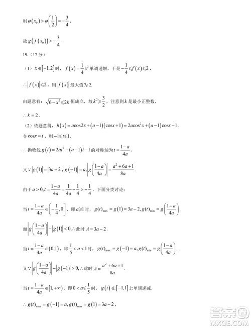
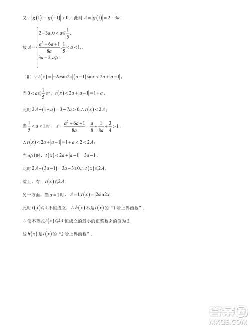
小编这次收集整理的是湖南邵阳2024年高一上学期拔尖创新人才早期培养第一次联考的数学试卷答案,本试卷共4页,满分150分,考试用时120分钟,这个是高一的联考数学试卷,想要练习的可以来做做看哦!

试卷的答案如下,仅供参考!











辽宁省名校联盟2024-2025学年高一上学期第一次月考数学试卷答案
2024-08-21 17:13:30
小编这次收集整理的是辽宁省名校联盟2024-2025学年高一上学期第一次月考的数学试卷答案,名校联盟出的试卷难度还是不错的,其他年级的也有,站内直接搜名校联盟就可以了,这个带有
浙江宁波奉化中学2024-2025学年高一上学期分班考试数学试卷答案
2024-08-20 10:52:01
小编这次收集整理的是浙江宁波奉化中学2024-2025学年高一上学期分班考试的数学试卷答案,这次的试卷适用于浙江地区学子练习,想要训练可以来做做看哦,检查一下自己做的对不对吧!
湖北武汉2024-2025学年高一上学期入学分班考试数学模拟卷答案
2024-08-16 16:52:29
小编这次收集整理的是湖北武汉2024-2025学年高一上学期入学分班考试的数学模拟卷答案,考试时间120分钟,试卷满分150分,想要练习的可以来做做看哦, 检查一下自己做的对不对吧!湖北
江苏连云港锦屏高级中学2024-2025学年高一上学期开学质检数学试题答案
2024-08-12 16:38:11
小编这次收集整理的是江苏连云港锦屏高级中学2024-2025学年高一上学期开学质检的数学试题答案,本卷满分150分,共4页,考试时间120分钟,这个试卷系列的还是非常不错的,感兴趣的可以