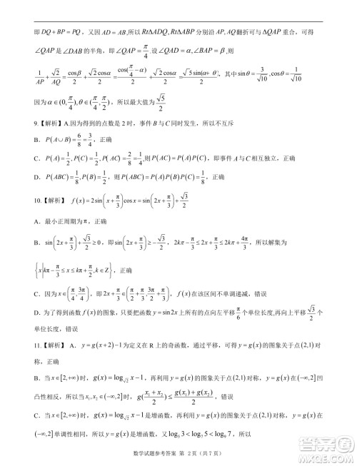
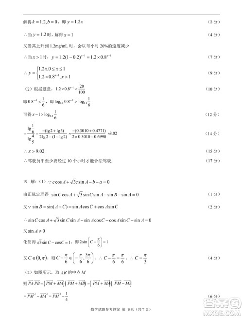
小编这次收集整理的是广东汕头2024年高一下学期期末的数学试题答案,想要练习的可以来看看,检查一下自己做的对不对吧,这个也是广东地区的,广东其他地区的联考数学试卷也有,站内直接搜市名就可以了!

答案如下,仅供参考!











广东深圳2024年高一下学期期末调研考试数学试题答案
2024-07-09 11:12:58
小编这次收集整理的是广东深圳2024年高一下学期期末调研考试的数学试题答案,想要练习一下的可以来做做看,这个是七月份的期末考试,整合的是高一年级学习的知识点,还是非常适合用
福建宁德市2024年高一下学期期末考试数学试卷答案
2024-07-05 16:41:45
小编这次收集整理的是福建宁德市2024年高一下学期期末考试的数学试卷答案,宁德市的有高一和高二的数学试卷,都可以尝试做做,练习一下,根据自己的需要来进行选择,做完了之后可以来
福建省部分学校2024年高一下学期联合测评数学试卷答案
2024-07-04 15:30:25
小编这次收集整理的是福建省部分学校2024年高一下学期联合测评的数学试卷答案,满分150分,考试时间120分钟,这个系列的还是非常不错的,感兴趣的可以来试试哦,做完了之后可以评估一
湖北武汉市5G联合体2024年高一下学期期末考试数学试卷答案
2024-07-02 16:55:24
小编收集整理的是湖北武汉市5G联合体2024年高一下学期期末考试的数学试卷答案,命题学校育才高级中学,考试时间2024年6月28日,想要练习的可以来试试,检查一下自己做的对不对吧,多