小编这次收集整理的是江苏南京秦淮区2024年高一下学期期末学情调研的数学试卷答案,本卷调研时间120分钟。总分150分,想要练习的可以来做做看,检查一下自己做的还有多少知识点是没有掌握的,试卷练习主要是一个查缺补漏的过程!

答案如下,仅供参考!



















浙江湖州市2024年高一下学期6月学情调查数学试卷答案
2024-06-23 15:56:26
小编这次收集整理的是浙江湖州市2024年高一下学期6月学情调查的数学试卷答案,本试卷满分150分,考试时间为120分钟,感兴趣的可以做完了之后来检查一下自己做的对不对!看看自己还
湖北武汉六中2024年高一下学期6月月考数学试卷答案
2024-06-18 09:58:06
小编这次收集整理的是湖北武汉六中2024年高一下学期6月月考的数学试卷答案,这个适用于湖北地区的高一学子练习,对于学生来说,整体的一个题感的把握还是很重要的,主要的目的不是
湖北省宜荆荆随恩2024年高一下学期6月联考数学试卷答案
2024-06-18 09:22:14
小编这次收集整理的是湖北省宜荆荆随恩2024年高一下学期6月联考的数学试卷答案,命题学校宜昌一中,审题学校恩施高中,想要练习的可以来做做看哦,检查一下自己做的对不对吧!湖北省
辽宁省七校2024年高一下学期6月联考数学试卷答案
2024-06-17 17:44:37
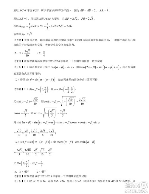
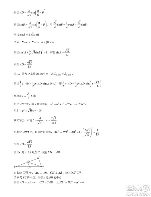
小编这次收集整理的是辽宁省七校2024年高一下学期6月联考的数学试卷答案,考试时间120分钟,满分150分,七校联考三个年级的都有,想要练习的可以来做做看,其他年级站内直接搜七校联