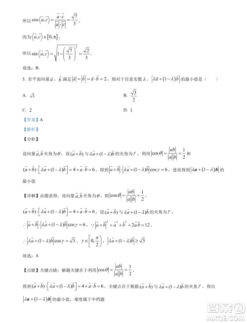
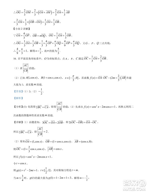
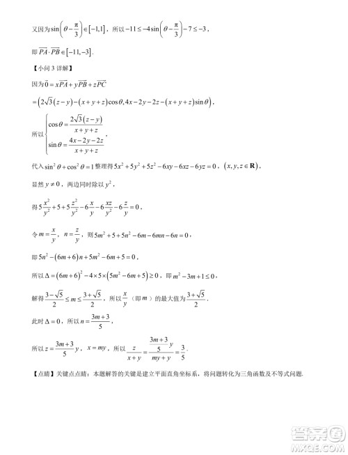
小编这次收集整理的是重庆南开中学校高2026级数学测试的试卷习题和参考答案解析,这次是三月的月考,也适用于其他地区的高一学子,想要练习的可以来做做看,看看自己对当前的数学知识点掌握了多少吧!

答案如下,仅供参考!




















福建部分学校教学联盟2023-2024学年高一下学期开学质量监测数学试卷答案
2024-02-19 09:43:37
小编这次收集整理的是福建部分学校教学联盟2023-2024学年高一下学期开学质量监测的数学试卷答案,这个是教学联盟开学考试,还有部分高校的联考站内也有收集整理,感兴趣的可以来
福建部分优质高中2023-2024学年高一下学期入学质量抽测数学试卷答案
2024-02-19 09:21:08
小编这次收集整理的是福建部分优质高中2023-2024学年高一下学期入学质量抽测的数学试卷答案,这个是福建部分高一的开学考试,难度还是不错的,想要练习的可以来看看,其他年级的开
福州部分学校教学联盟2023-2024学年高一上学期期末质检数学试题答案
2024-02-04 09:54:29
小编这次收集整理的是福州部分学校教学联盟2023-2024学年高一上学期期末质检的数学试题答案,完成时间120分钟,满分150分。这个系列的都是整合的期末的考试试卷想要练习一下的
安徽皖北六校2023-2024学年高一上学期期末联考数学试题答案
2024-02-04 09:34:58
小编这次收集整理的是安徽皖北六校2023-2024学年高一上学期期末联考的数学试题答案,这个系列的解析也比较详细,得分点说明和分布也比较好,这次的命题范围是北师大版必修第一册,