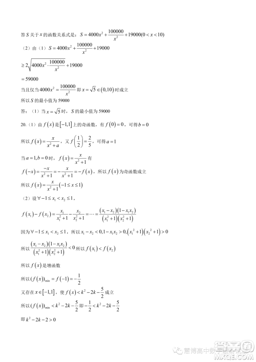
小编这次收集整理的是灌云高级中学灌南惠泽高级中学2024高一上学期期中调研的数学试卷答案,本试卷满分150分,考试时间120分钟,感兴趣的可以来看看,检查一下自己做的对不对吧!

答案如下,仅供参考!









河南名校联盟2023-2024学年高一上学期12月考试数学试题答案
2023-12-06 10:28:24
小编这次收集整理的是河南名校联盟2026届高一上学期12月考试的数学试题答案,这个适用于河南地区,而且出题试卷难度相对学校出题难度高一些,想要练习一下的可以来看看哦!河南名校
江苏扬州市高邮市2023-2024学年高一上学期12月月考数学试题答案
2023-12-05 09:22:58
小编这次收集整理的是江苏扬州市高邮市2023-2024学年高一上学期12月月考的数学试题答案,考试时间120分钟,试卷满分150分,这个系列的还是非常不错的,感兴趣的可以来看看哦!江苏扬
惠州大亚湾一中2023-2024学年高一上学期期中测试数学试题答案
2023-12-04 15:22:10
小编这次收集整理的是惠州大亚湾一中2023-2024学年高一上学期期中测试的数学试题答案,本试卷共8页22题,这个是11月28日的考试,想要练习一下的可以来看看哦,多做试卷模拟对于提升
东莞四校2023-2024学年高一上学期12月期中联考数学试题答案
2023-12-04 14:41:59
小编这次收集整理的是东莞四校2023-2024学年高一上学期12月期中联考的数学试题答案,本次是东莞四校联考的高一试卷,高二的也有整合,站内搜东莞就可以搜到了,感兴趣的可以来看看