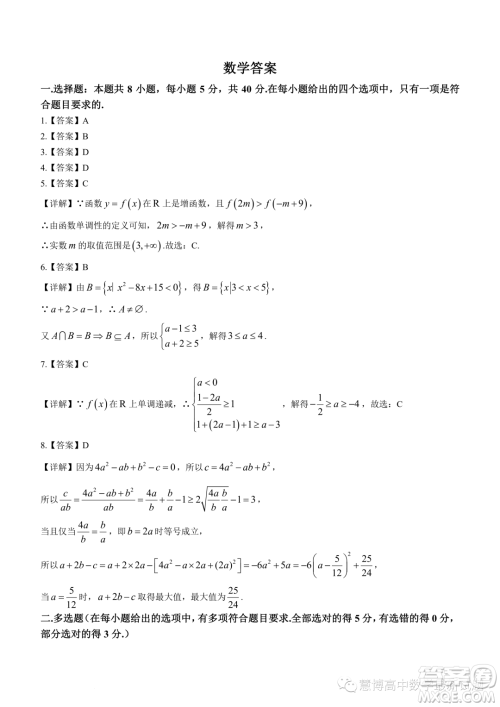
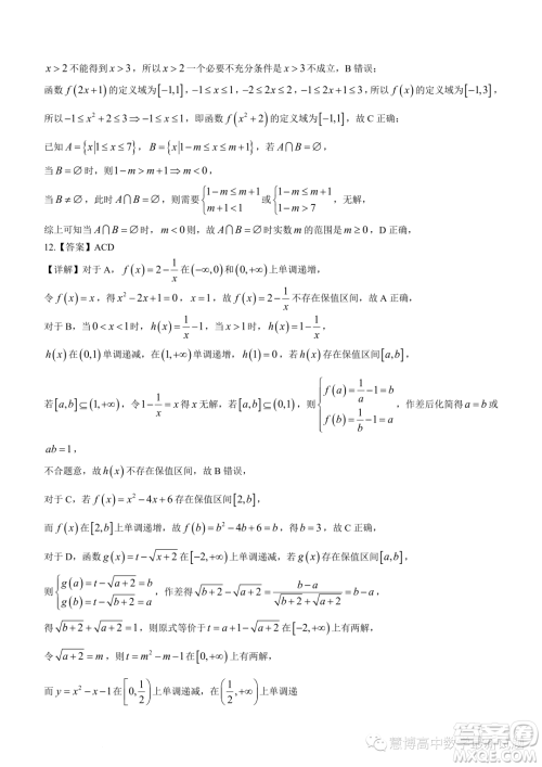
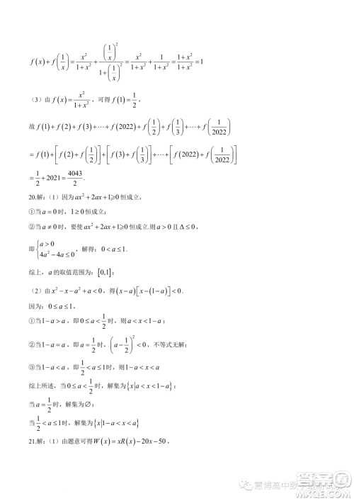
小编这次收集整理的是重庆育才中学校2023-2024学年高一上学期拔尖强基联合定时检测一的数学试题答案,本试卷为第I卷和第II卷,这个是符合重庆地区高一学子进度的,所有重庆地区的高一学子都可以来练习模拟训练!

答案如下,仅供参考!












武汉二中2023-2024学年高一上学期10月月考数学试题答案
2023-10-30 15:16:58
小编这次收集整理的是武汉二中2023-2024学年高一上学期10月月考的数学试题答案,这个是武汉市的高一十月份月考数学试卷,同地区的其他学校也可以用来检测,方便查看当前学习进度
广东深圳名校2023年高一上学期期中联考数学试题答案
2023-10-26 11:24:31
小编这次收集整理的是广东深圳名校2023年高一上学期期中联考的数学试题答案,这个系列的还有其他年级学科的试卷,这次的适用于广东地区,也是期中考试,想要练习一下的可以来看看哦
东莞外国语学校2023年高一上学期10月月考数学试题答案
2023-10-24 17:12:15
小编这次收集整理的是东莞外国语学校2023年高一上学期10月月考的数学试题答案,这个是东莞外国语高一年级的第一学期的数学试卷考试,也适用于广东其他地区的高一练习,高一数学学
广东执信中学2023年高一上学期10月月考数学试题答案
2023-10-18 14:56:44
小编这次收集整理的是广东执信中学2023年高一上学期10月月考的数学试题答案,这个系列的试卷还是很不错的,也适合广东地区其他高一学生来练习,感兴趣的可以来看看哦!广东执信中学