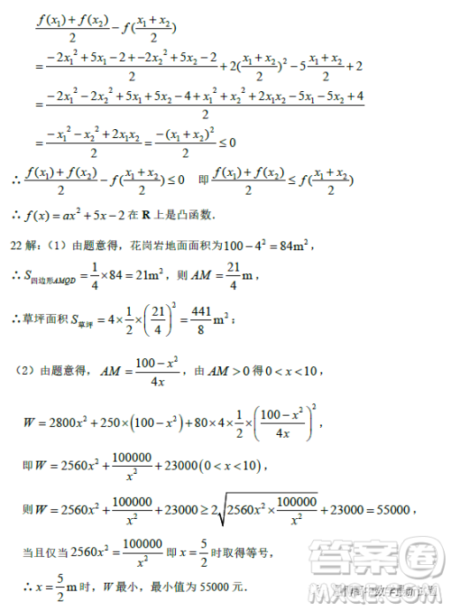
小编这次收集整理的是2023年郑州四高10月高一第一次调考的数学试题答案,本试卷满分150分,考试时间是2小时,这个系列的试卷适用于高一上学期的考试,感兴趣的可以来看看,了解一下!

答案如下,仅供参考!










江苏南通2023年高一上学期10月份质量监测数学试题答案
2023-10-08 17:28:28
小编这次收集整理的是江苏南通2023年高一上学期10月份质量监测的数学试题答案,本试卷共6页,22小题,满分150分,考试用时120分钟, 这个系列的还是非常不错的,想要练习的可以来模拟学
杭州四校2023-2024学年高一上学期10月联考数学试题答案
2023-10-06 11:38:06
小编这次收集整理的是杭州四校2023-2024学年高一上学期10月联考的数学试题答案,不嫩试卷满分150分,考试时间120分钟,这个是高一的学科试卷,其他学科的后续也会陆续收集整理,想要
2023年南京中华中学高一上学期学情调研一数学试卷答案
2023-09-25 09:57:27
小编这次收集整理的是2023年南京中华中学高一上学期学情调研一的数学试卷答案,这个是高一的考试,想要练习的可以来试试,其他学科的后期也会陆续收集整理!2023年南京中华中学高一
山东淄博2023年高一上学期数学学科素养检测数学试题答案
2023-09-21 14:07:47
小编这次收集整理的是山东淄博2023年高一上学期数学学科素养检测的数学试题答案,这个是淄博的高一考试试卷,山东其他地区想要练习的可以来看看,检查一下自己做的对不对!山东淄博