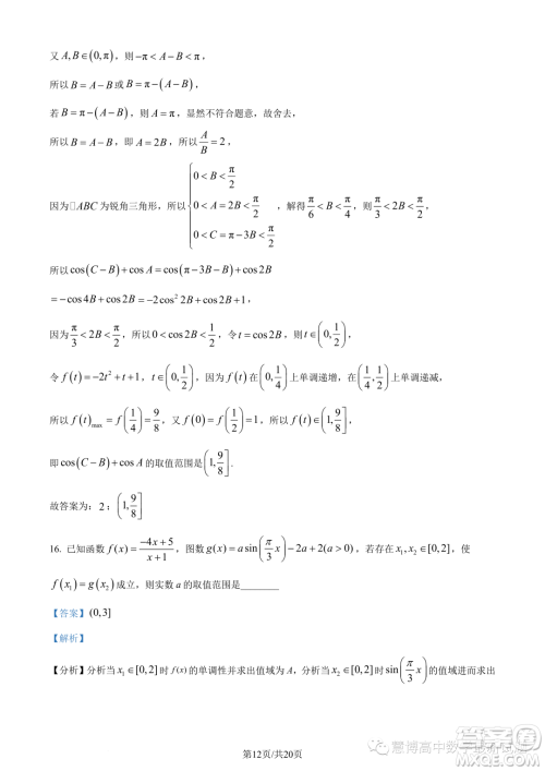
小编这次收集整理的是2023年广东珠海香樟中学高一下学期期末的数学试题答案,这个系列的还有其他年级的,站内直接搜香樟中学就可以搜到了,感兴趣的可以来看看哦!

答案如下,仅供参考!




















2023年第二十届中国东南地区数学奥林匹克高一第二天试题答案
2023-08-02 09:39:57
小编这次收集整理的是2023年第二十届中国东南地区数学奥林匹克的高一第二天试题答案,这个系列的试卷还是很不错的,感兴趣的可以来看看,还有第一天的考试试卷和习题答案,直接站内
2023年第二十届中国东南地区数学奥林匹克高一第一天试题答案
2023-08-02 09:14:55
小编这次收集整理的是2023年第二十届中国东南地区数学奥林匹克的高一第一天试题答案,这个是七月底的考试,也是一次模拟练习,浙江温州地区的,感兴趣的可以来看看那,第二天的也有整
2023年福建师大附中高一下学期期末考试数学试题答案
2023-07-28 17:25:21
小编这次收集整理的是2023年福建师大附中高一下学期期末考试的数学试题答案,这个是期末试卷整理,有需要的可以来看看,期末是对一个学期的总复习,对于暑假练习来说也是一个不错的
2023年广州外国语学校等三校高一下学期期末联考数学试题答案
2023-07-25 15:40:35
小编这次收集整理的是2023年广州外国语学校等三校高一下学期期末联考的数学试题答案,本试卷共4页,22小题,满分150分,考试用时120分钟,感兴趣的可以来模拟练习看看哦!2023年广州外