小编这次收集整理的是2023年江苏响水中学高一下学期7月学情调研考试的数学试卷答案,本试卷分第I卷和第II卷,这个系列的还是非常不错的,感兴趣的可以来看看哦,收集的是地区中学的模拟考试。

答案如下,仅供参考!








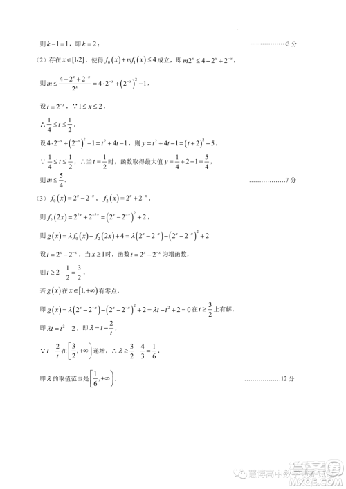
苏州八校2025届综合质量监测考试高一数学试题答案
2023-07-24 14:48:28
小编这次收集整理的是苏州八校2025届综合质量监测考试的高一数学试题答案,本试卷共4页,22小题,满分150分,考试用时120分钟,这个系列的考试还是很不错的,感兴趣的可以来看看哦!苏州
北京一零一中学2022-2023学年高一下学期期末考试数学试题答案
2023-07-23 14:32:01
小编这次收集整理的是北京一零一中学2022-2023学年高一下学期期末考试的数学试题答案,命题是高一备课组,这个是北京地区的考题,主要是针对高一的学生的练习,感兴趣的可以来看看
武汉华中师大一附中2022-2023学年高一下学期学业水平质量评价检测数学试题答案
2023-07-21 09:10:35
小编这次收集整理的是武汉华中师大一附中2022-2023学年高一下学期学业水平质量评价检测的数学试题答案,选择题和非选择两部分,做完了之后可以核对,查看解析,分析题意和知识点,感
吉林BEST合作体2022-2023学年高一下学期期末联考数学试题答案
2023-07-21 08:31:56
小编这次收集整理的是吉林BEST合作体2022-2023学年高一下学期期末联考的数学试题答案,本试卷满分150分,考试时间为120分钟,这个系列的还是非常不错的,感兴趣的可以来看看,检查一