小编这次收集整理的是丽水2023年高一下学期6月期末教学质量监控的数学试题答案,这个是丽水市的高一下学期期末考试,也适用云南其他地区,想要模拟练习的可以来看看哦,多做试卷对于巩固知识点很有帮助!

答案如下,仅供参考!









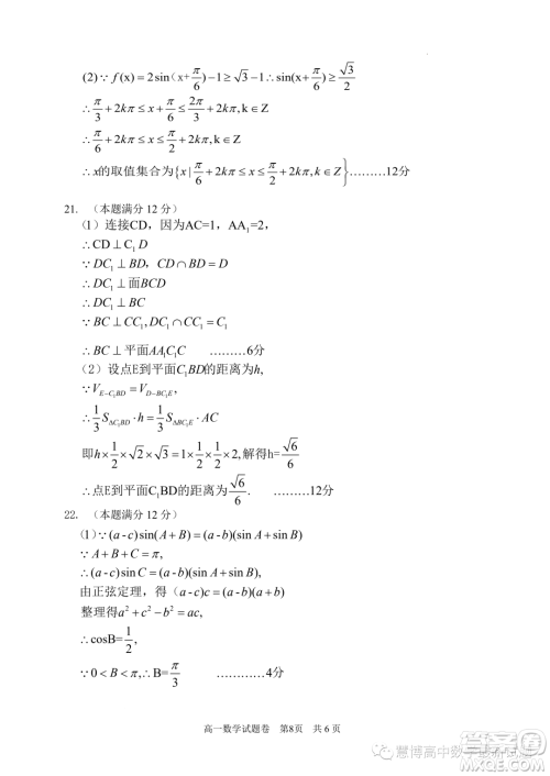
成都外国语学校2022-2023学年高一下学期期末考试数学试题答案
2023-06-22 13:36:11
小编这次手机整理的是成都外国语学校2022-2023学年高一下学期期末考试的数学试题答案,这个是期末考试,也适用成都其他学校来练习,主要考试的就是高一下学期的学习内容,感兴趣的
珠海市广东实验中学金湾学校2022-2023学年高一下学期6月月考数学试题答案
2023-06-22 11:43:16
小编这次收集整理的是珠海市广东实验中学金湾学校2022-2023学年高一下学期6月月考的数学试题答案,这个是学校的月考试卷,也适用于广东地区,想要练习的可以来看看哦!珠海市广东实
2023年天一大联考高一阶段性测试五数学试题答案
2023-06-22 10:48:22
小编这次收集整理的是2023年天一大联考高一阶段性测试五的数学试题答案,这个是高一的试卷,在练习的时候要注意区分,如果需要高二年级的可以站内直接搜天一大联考选择高二就可以
2022-2023学年九江中学高一下学期第三次大测数学试卷答案
2023-06-19 11:37:25
小编这次收集整理的是2022-2023学年九江中学高一下学期第三次大测的数学试卷答案,是广东佛山南海区的,也适用于广东其他地区,想要模拟练习的可以来看看,多做数学试卷对于提升成