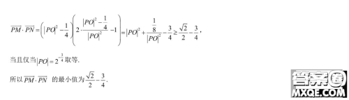
小编这次收集整理的是哈六中2022-2023学年高一下学期期中考试的数学试题答案,哈六中命题中心命制,考试时间120分钟,满分150分,这个系列还有其他学科的,站内直接搜高一下学期或者直接选高一的就可以找到咯!

答案如下,仅供参考!










哈尔滨六中2022-2023学年高一下学期期中考试英语试卷答案
2023-06-16 09:52:51
小编这次收集整理的是哈尔滨六中2022-2023学年高一下学期期中考试的英语试卷答案,这个是哈六中命题中心命制的,这个系列的出题水平也还不错,想要练习的可以来看看哦!哈尔滨六中2
哈尔滨市第六中2022-2023学年高一下学期期中考试语文试卷答案
2023-06-16 09:47:30
小编这次收集整理的是哈尔滨六中2022-2023学年高一下学期期中考试的语文试卷答案,这个是哈六中命题中心命制,其他学科的也有整理收集,站内直接搜高一下学期就可以了!哈尔滨市第
大庆铁人中学2022-2023学年高一下学期期中考试英语试题答案
2023-06-15 17:35:09
小编这次收集整理的是大庆铁人中学2022-2023学年高一下学期期中考试的英语试题答案,这个是大庆地区的高一下学期期中考试,也是非常适合黑龙江地区的模拟练习,感兴趣的可以来看
辽宁名校联盟2022-2023学年高一下学期6月份联合考试数学试题答案
2023-06-14 10:24:31
小编这次收集整理的是辽宁名校联盟2022-2023学年高一下学期6月份联合考试的数学试题答案,命题人辽宁名校联盟试题研发中心,本试卷满分150分,考试时间120分钟,这个系列的还是非常