小编这次收集整理的是哈师大附中2023高一下学期4月月考的数学试卷答案,考试时间120分钟,试卷满分150分,这个还有高二年级的数学试卷,方便学子模拟练习,多做试卷也可以多提升一下,数学还是要多题才能强化练习的!

答案如下,仅供参考!









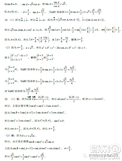
贵州贵阳三新改革联盟校2022-2023学年高一下学期4月联考数学试卷答案
2023-04-03 20:14:22
小编这次收集整理的是贵州贵阳三新改革联盟校2022-2023学年高一下学期4月联考的数学试卷答案,本试卷共4页,满分150分,考试时间为120分钟,感兴趣的可以来看看,检查一下自己做的对
江西南昌外国语学校2023高一下学期3月联考数学试题答案
2023-03-29 15:26:32
小编这次收集整理的是江西南昌外国语学校2023高一下学期3月联考的数学试题答案,这个系列的试卷还是非常不错的,感兴趣的可以来看看哦,这个是高一的三月联考数学试卷,非常适合用
江苏如皋中学2023高一年级第二学期教学考试一数学试题答案
2023-03-27 14:41:27
小编这次收集整理的是江苏如皋中学2023高一年级第二学期教学考试一的数学试题答案,这个系列的还是非常不错的,站内也有整理高二年级的数学试卷,这份试卷是对高一学期的数学学习
长郡中学2023高一下学期第一次适应性检测数学试题答案
2023-03-27 10:58:24
小编这次收集整理的是长郡中学2023高一下学期第一次适应性检测的数学试题答案,这个是高一下学期的模拟考试,主要是考核当前的学习进度和学习情况,为下一季度的高一数学学习打好