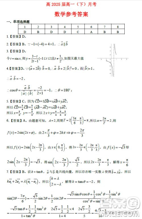
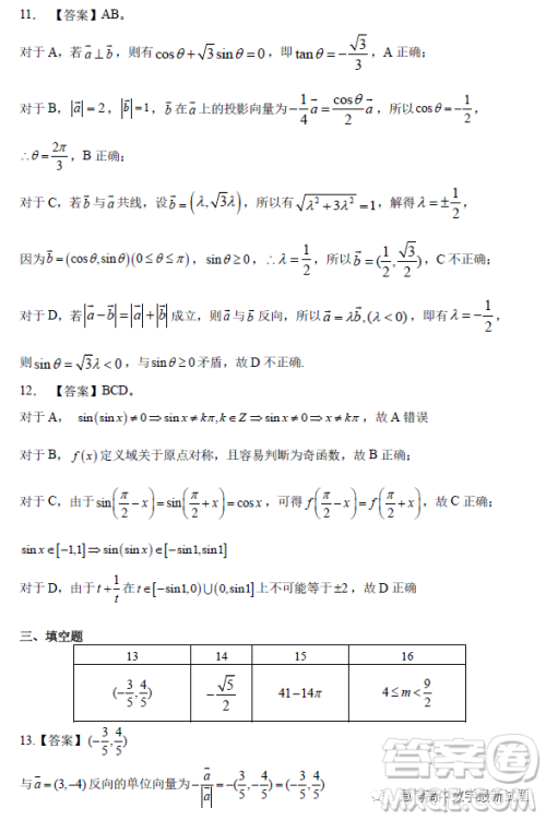
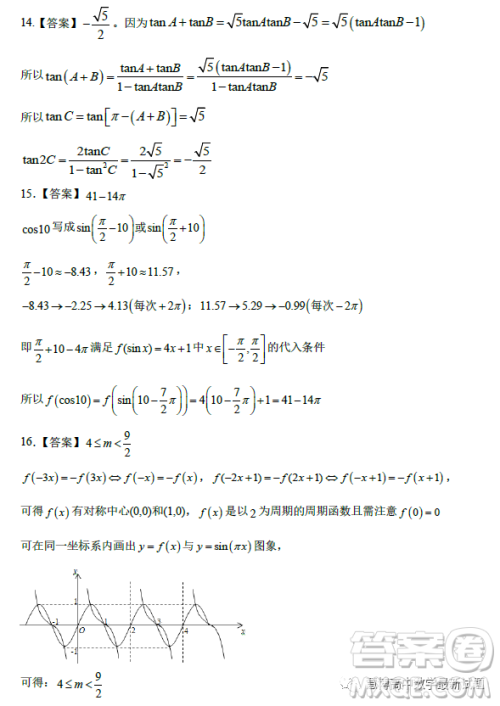
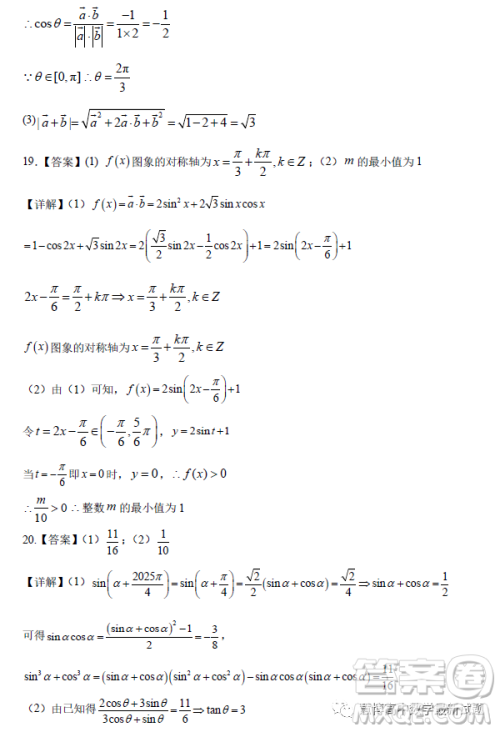
小编这次收集整理的是重庆市巴蜀中学校2022-2023学年高一下3月的月考数学试卷答案,巴蜀中学是重庆知名中学,数学试卷出的也是非常不错的,这个是高一年级的,想要进行模拟测试的可以来看看,多做练习对于学习还是很有帮助的!

答案如下,仅供参考!












安徽省十校联盟2022-2023学年高一下学期开年考数学试题答案
2023-02-12 14:40:50
小编这次收集整理的是安徽省十校联盟2022-2023学年高一下学期开年考的数学试题答案,这个系列的还有其他年级的,直接站内搜十校联盟就可以了,还是非常不错的,主要是淮北一中、太
2023年2月高一下学期开学考检测模拟试卷数学试题答案
2023-01-30 09:34:43
小编这次收集整理的是2023年2月高一下学期开学考检测模拟试卷的数学试题答案,时间120分钟,范围高中数学必修一,这个是开学模拟考,也可以自己寒假期间测试,做完了之后检查核对,看看
2023湖北省荆州中学高一上学期期末考试化学试题答案
2023-01-18 17:24:00
小编这次收集整理的是2023湖北省荆州中学高一上学期期末考试的化学试题答案,本次考试可能用到的相对原子质量:H: l,C: 12,N: 14,O: 16,Na: 23,P: 31,S:32,Cl: 35.5,K: 39,Mn: 55,Fe: 56
2023天一大联考高一上学期1月期末考试数学试卷答案
2023-01-18 17:13:01
小编这次收集整理的是2023天一大联考高一上学期1月期末考试的数学试卷答案,这次的考试试卷出题水平还可以,题目难度相对来说比较适宜,想要进行模拟的可以来看看。做完了之后根