先来看看5个大题,大题的解析对于分值来说还是蛮多的,今年的浙江数学高考难度直接被大题左右,那么大题你作对了几分呢?一起来看看吧
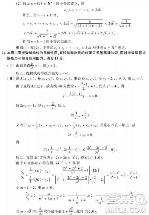
下面题目看题型还是很常规的,函数、几何、数列、抛物线,考试范围内。

题目常规,但是计算量也是不简单的,一起来看看答案吧!






以上便是浙江的最后的大题相关的答案解析,所以你算对了吗?
2019全国I卷数学高考维纳斯身高题答案解析 维纳斯的身高高考答案
2019-06-11 09:40:15
古希腊时期,人们认为最美的人体的头顶至肚脐的长度与肚脐至足底的长度比是(√5-1)/2≈0.618,称为黄金分割比例。著名的“断臂维纳斯”便是如此,此外,最美人体的头顶至咽喉的长度与
2020全国高考英语作文题目汇总 2020全国高考各地英语作文题目有哪些
2019-06-10 11:45:34
北京卷书面表达(共两节,35分)第一节(15分)假设你是红星中学高三学生李华。你的英国好友Jim打算暑假期间来北京、天津和上海旅游,发来邮件询问相关信息。请你给他回复邮件,内容包括:1
2019年全国I卷英语作文 关于申请当中国画展志愿者英语作文
2019-06-10 11:40:31
假如你是李华,暑假在伦敦学习,得知当地美术馆要举办中国画展。请写一封申请做志愿者,内容包括:1、写信目的;2、个人优势;3、能做的事。注意:1、词数100左右;2、可以适当增加细节,以使
2019高考语文全国卷一试卷真题答案
2019-06-08 21:03:05
小编这次收集整理的是全国卷一的语文试卷答案,想要核对一下高考答案的可以来看看哦,估分之后看看自己大概能得多少分吧。如果对答案有疑义可以在评论指出2019高考语文全国卷一