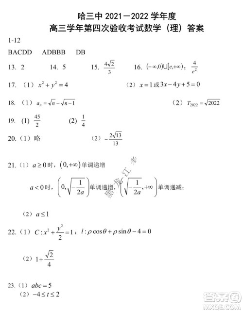
哈三中2021-2022学年高三上学期第四次验收考试理科数学试卷及答案小编已经收集整理好了,哈尔滨第三中学的阶段性测试,针对每个阶段的复习总结,及时的为学生做好查漏补缺,需要核对答案的伙伴可以来答案圈查看!

本次考试的其他科目的答案小编也有收集整理,需要核对的伙伴可以在答案圈对应的年级搜索查看!








哈三中2021-2022学年高三上学期第四次验收考试英语试卷及答案
2021-12-27 08:23:10
哈三中2021-2022学年高三上学期第四次验收考试英语试卷及答案小编已经收集整理好了,哈尔滨第三中学的阶段性测试,针对每个阶段的复习总结,及时的为学生做好查漏补缺,需要核对答
哈三中2021-2022学年高三上学期第四次验收考试语文试卷及答案
2021-12-27 08:16:15
哈三中2021-2022学年高三上学期第四次验收考试语文试卷及答案小编已经收集整理好了,哈尔滨第三中学的阶段性测试,针对每个阶段的复习总结,及时的为学生做好查漏补缺,需要核对答
哈三中2021-2022高三上学期第三次验收考试理科数学试卷及答案
2021-11-30 11:20:10
哈三中2021-2022高三上学期第三次验收考试理科数学试卷及答案小编已经整理好了,哈尔滨第三中学的阶段性测试,针对每个阶段的复习总结,及时的为学生做好查漏补缺,需要核对答案的
昆明市第一中学2022届高中新课标高三第四次双基检测理科数学试卷及答案
2021-11-23 13:45:31
这是小编整理的昆明市第一中学2022届高中新课标高三第四次双基检测理科数学试卷及答案,昆明一中的高三月考,其针对性还是比较强的,能很好的反应出学生在这一阶段的复习情况,需要