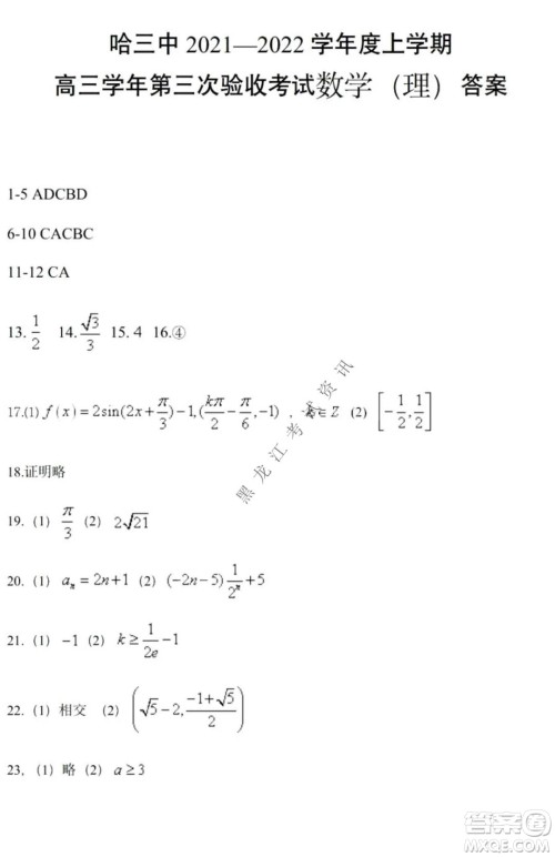
哈三中2021-2022高三上学期第三次验收考试理科数学试卷及答案小编已经整理好了,哈尔滨第三中学的阶段性测试,针对每个阶段的复习总结,及时的为学生做好查漏补缺,需要核对答案的伙伴可以来答案圈查看!

本次考试的其他科目的答案小编也有收集整理,需要核对的伙伴可以在答案圈对应的年级搜索查看!









哈三中2021-2022高三上学期第三次验收考试英语试卷及答案
2021-11-30 10:59:39
哈三中2021-2022高三上学期第三次验收考试英语试卷及答案小编已经整理好了,哈尔滨第三中学的阶段性测试,针对每个阶段的复习总结,及时的为学生做好查漏补缺,需要核对答案的伙伴
哈三中2021-2022高三上学期第三次验收考试语文试卷及答案
2021-11-30 10:45:34
哈三中2021-2022高三上学期第三次验收考试语文试卷及答案小编已经整理好了,哈尔滨第三中学的阶段性测试,针对每个阶段的复习总结,及时的为学生做好查漏补缺,需要核对答案的伙伴
哈三中2021-2022高三上学期第三次验收考试政治试卷及答案
2021-11-30 10:30:04
哈三中2021-2022高三上学期第三次验收考试政治试卷及答案小编已经整理好了,哈尔滨第三中学的阶段性测试,针对每个阶段的复习总结,及时的为学生做好查漏补缺,需要核对答案的伙伴
哈三中2021-2022高三上学期第三次验收考试历史试卷及答案
2021-11-30 10:14:30
哈三中2021-2022高三上学期第三次验收考试历史试卷及答案小编已经整理好了,哈尔滨第三中学的阶段性测试,针对每个阶段的复习总结,及时的为学生做好查漏补缺,需要核对答案的伙伴