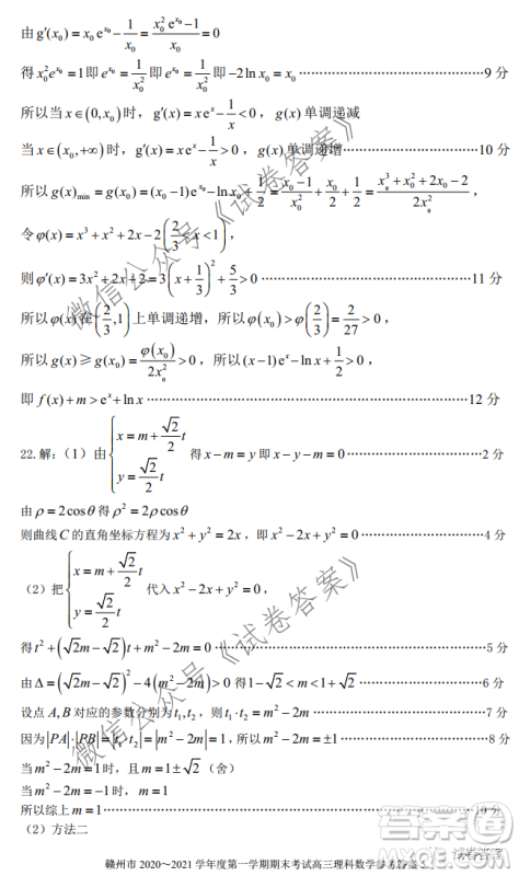
赣州市2020-2021学年度第一学期期末考试理科数学试题及答案小编已经收集整理好了,感兴趣的伙伴可以来答案圈查看

本次联考的其他科目的答案小编已经收集整理好了,需要核对的伙伴可以来答案对应的年级搜索查看!










九江市2021届第一次高考模拟统一考试理科数学试题及答案
2021-02-01 15:30:01
九江市2021届第一次高考模拟统一考试理科数学试题及答案小编已经收集整理好了,感兴趣的伙伴可以来答案圈查看九江市2021届第一次高考模拟统一考试理科数学试题及答案本次联考
淮南市2021届高三第一次模拟考试理科数学试题及答案
2021-02-01 14:36:20
淮南市2021届高三第一次模拟考试理科数学试题及答案小编已经收集整理好了,感兴趣的伙伴可以来答案圈查看淮南市2021届高三第一次模拟考试理科数学试题及答案本次联考的其他科
上饶市2021届第一次高考模拟考试理科数学试题及答案
2021-02-01 14:01:57
上饶市2021届第一次高考模拟考试理科数学试题及答案小编已经收集整理好了,感兴趣的伙伴可以来答案圈查看上饶市2021届第一次高考模拟考试理科数学试题及答案本次联考的其他科
2021年湘豫名校联考高三1月联考理科数学试题及答案
2021-02-01 10:51:21
2021年湘豫名校联考高三1月联考理科数学试题及答案小编已经收集整理好了,感兴趣的伙伴可以来答案圈查看2021年湘豫名校联考高三1月联考理科数学试题及答案2021炎德英才大联考