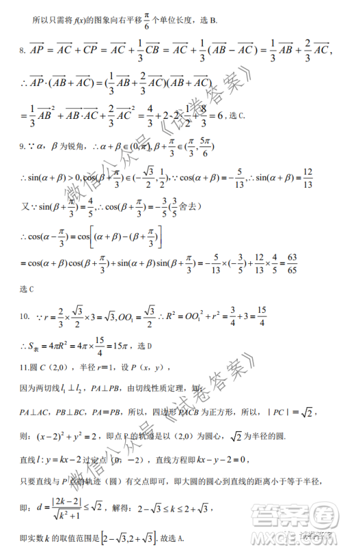
上饶市2021届第一次高考模拟考试理科数学试题及答案小编已经收集整理好了,感兴趣的伙伴可以来答案圈查看

本次联考的其他科目的答案小编已经收集整理好了,需要核对的伙伴可以来答案对应的年级搜索查看!













上饶市2021届第一次高考模拟考试语文试题及答案
2021-02-01 13:41:15
上饶市2021届第一次高考模拟考试语文试题及答案小编已经收集整理好了,感兴趣的伙伴可以来答案圈查看上饶市2021届第一次高考模拟考试语文试题及答案本次联考的其他科目的答案
2021年湘豫名校联考高三1月联考理科数学试题及答案
2021-02-01 10:51:21
2021年湘豫名校联考高三1月联考理科数学试题及答案小编已经收集整理好了,感兴趣的伙伴可以来答案圈查看2021年湘豫名校联考高三1月联考理科数学试题及答案2021炎德英才大联考
昆明市第一中学2021届高中新课标高三第五次二轮复习检测理科数学试题及答案
2021-01-21 15:08:59
昆明市第一中学2021届高中新课标高三第五次二轮复习检测理科数学试题及答案小编已经收集整理好了,需要核对参考的伙伴可以来答案圈看看昆明市第一中学2021届高中新课标高三第
许昌济源平顶山2021年高三第一次质量检测理科数学试题及答案
2021-01-21 13:29:28
许昌济源平顶山2021年高三第一次质量检测理科数学试题及答案小编已经收集整理好了,需要核对参考的伙伴可以来答案圈看看许昌济源平顶山2021年高三第一次质量检测理科数学试题