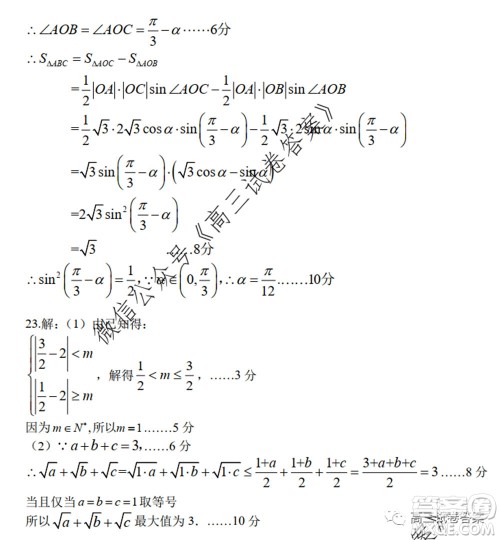
开封市2020届高三第三次模拟考试文科数学试题及答案小编已经收集整理好了,大家需要的可以来答案圈看看。

本次联考的其他科目的答案小编也有整理,需要的伙伴可以直接在答案圈高三年级搜索查看








开封市2020届高三第三次模拟考试理科数学试题及答案
2020-06-04 14:23:08
开封市2020届高三第三次模拟考试理科数学试题及答案小编已经收集整理好了,大家需要的可以来答案圈看看。开封市2020届高三第三次模拟考试理科数学试题及答案本次联考的其他科
惠州市2020届高三模拟考试文科数学试题及答案
2020-06-04 14:07:58
惠州市2020届高三模拟考试文科数学试题及答案小编已经收集整理好了,大家需要的可以来答案圈看看。惠州市2020届高三模拟考试文科数学试题及答案本次联考的其他科目的答案小编
肇庆2019-2020学年高考质量监测考试高三文科数学试题及答案
2020-06-04 11:39:01
肇庆2019-2020学年高考质量监测考试高三文科数学试题及答案小编已经收集整理好了,大家需要的可以来答案圈看看。肇庆2019-2020学年高考质量监测考试高三文科数学试题及答案本
郑州三模2020年高中毕业年级第三次质量预测文科数学试题及答案
2020-06-04 11:03:46
郑州三模2020年高中毕业年级第三次质量预测文科数学试题及答案小编已经收集整理好了,大家需要的可以来答案圈看看。郑州三模2020年高中毕业年级第三次质量预测文科数学试题及