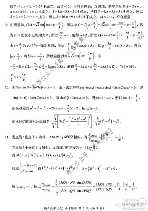
肇庆2019-2020学年高考质量监测考试高三文科数学试题及答案小编已经收集整理好了,大家需要的可以来答案圈看看。

本次联考的其他科目的答案小编也有整理,需要的伙伴可以直接在答案圈高三年级搜索查看












肇庆2019-2020学年高考质量监测考试高三英语试题及答案
2020-06-04 11:26:58
肇庆2019-2020学年高考质量监测考试高三英语试题及答案小编已经收集整理好了,大家需要的可以来答案圈看看。肇庆2019-2020学年高考质量监测考试高三英语试题及答案本次联考的
肇庆2019-2020学年高考质量监测考试高三理科数学试题及答案
2020-06-02 19:08:24
肇庆2019-2020学年高考质量监测考试高三理科数学试题及答案小编已经收集整理好了,大家需要的可以来答案圈看看肇庆2019-2020学年高考质量监测考试高三理科数学试题及答案本次
肇庆2019-2020学年高考质量监测考试高三语文试题及答案
2020-06-02 18:56:27
肇庆2019-2020学年高考质量监测考试高三语文试题及答案小编已经收集整理好了,大家需要的可以来答案圈看看肇庆2019-2020学年高考质量监测考试高三语文试题及答案本次联考的其
遂宁市高中2020届三诊考试高三文科数学试题及答案
2020-05-27 16:15:45
遂宁市高中2020届三诊考试高三文科数学试题及答案小编已经整理好了,感兴趣的伙伴来答案圈查看遂宁市高中2020届三诊考试高三文科数学试题及答案本次联考的其他科目的答案小编