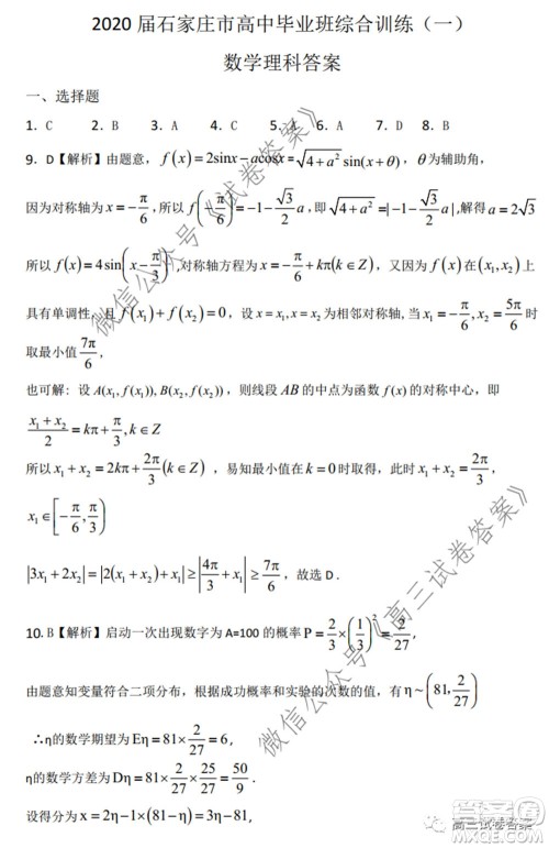
石家庄市2020届高中毕业班综合训练一理科数学试题及答案小编已经整理好了,感兴趣的伙伴来答案圈查看

本次联考的其他科目的答案小编也有收集整理,需要的伙伴可以直接在答案圈高三年级搜索查看
















石家庄市2020届高中毕业班综合训练一语文答案
2020-05-30 11:20:05
石家庄市2020届高中毕业班综合训练一语文答案小编已经整理好了,感兴趣的伙伴来答案圈查看石家庄市2020届高中毕业班综合训练一语文答案本次联考的其他科目的答案小编也有收集
2020年宝鸡市高考模拟检测三理科数学试题及答案
2020-05-30 10:44:30
2020年宝鸡市高考模拟检测三理科数学试题及答案小编已经整理好了,感兴趣的伙伴来答案圈查看2020年宝鸡市高考模拟检测三理科数学试题及答案本次联考的其他科目的答案小编也有
2020年南昌二模理科数学试题及答案
2020-05-30 10:27:56
2020年南昌二模理科数学试题及答案小编已经整理好了,感兴趣的伙伴来答案圈查看2020年南昌二模理科数学试题及答案本次联考的其他科目的答案小编也有收集整理,需要的伙伴可以直
2020年运城二模理科数学试题及答案
2020-05-30 09:00:38
2020年运城二模理科数学试题及答案小编已经整理好了,感兴趣的伙伴来答案圈查看2020年运城二模理科数学试题及答案本次联考的其他科目的答案小编也有收集整理,需要的伙伴可以直