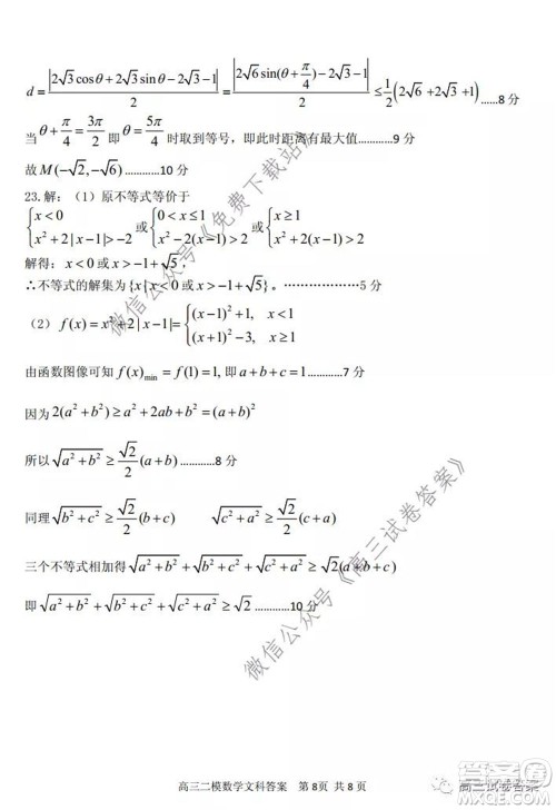
保定2020年高三第二次模拟考试文科数学试题及答案小编已经整理在答案了,需要参考的伙伴可以来看看

本次联考的其他科目的答案小编也有整理,需要的伙伴可以直接在答案圈高三年级搜索查看












保定2020年高三第二次模拟考试理科数学试题及答案
2020-05-20 10:11:26
保定2020年高三第二次模拟考试理科数学试题及答案小编已经整理在答案了,需要参考的伙伴可以来看看保定2020年高三第二次模拟考试理科数学试题及答案本次联考的其他科目的答案
2020年茂名市高三年级第二次综合测试文科数学试题及答案
2020-05-20 09:41:16
2020年茂名市高三年级第二次综合测试文科数学试题及答案小编已经整理在答案了,需要参考的伙伴可以来看看2020年茂名市高三年级第二次综合测试文科数学试题及答案本次联考的其
辽宁省部分重点中学协作体2020年高考模拟考试文科数学试题及答案
2020-05-20 09:17:45
辽宁省部分重点中学协作体2020年高考模拟考试文科数学试题及答案小编已经整理在答案了,需要参考的伙伴可以来看看辽宁省部分重点中学协作体2020年高考模拟考试文科数学试题及
2020年湖北省高三5月调研模拟考试文科数学试题及答案
2020-05-20 08:56:31
2020年湖北省高三5月调研模拟考试文科数学试题及答案小编已经整理在答案了,需要参考的伙伴可以来看看2020年湖北省高三5月调研模拟考试文科数学试题及答案本次联考的其他科目