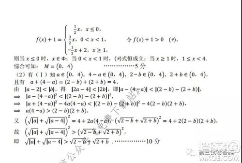
2020年湖北省高三5月调研模拟考试文科数学试题及答案小编已经整理在答案了,需要参考的伙伴可以来看看

本次联考的其他科目的答案小编也有整理,需要的伙伴可以直接在答案圈高三年级搜索查看









2020年湖北省高三5月调研模拟考试理科数学试题及答案
2020-05-20 08:47:12
2020年湖北省高三5月调研模拟考试理科数学试题及答案小编已经整理在答案了,需要参考的伙伴可以来看看2020年湖北省高三5月调研模拟考试理科数学试题及答案本次联考的其他科目
2020年湖北省高三5月调研模拟考试语文试题及答案
2020-05-20 08:37:32
2020年湖北省高三5月调研模拟考试语文试题及答案小编已经整理在答案了,需要参考的伙伴可以来看看2020年湖北省高三5月调研模拟考试语文试题及答案本次联考的其他科目的答案小
江西省红色七校2020届高三第二次联考文科数学试题及答案
2020-05-19 16:50:27
江西省红色七校2020届高三第二次联考文科数学试题及答案小编已经整理在答案了,需要参考的伙伴可以来看看江西省红色七校2020届高三第二次联考文科数学试题及答案本次联考的其
安庆市2020届高三第三次模拟考试文科数学试题及答案
2020-05-19 15:38:34
安庆市2020届高三第三次模拟考试文科数学试题及答案小编已经整理在答案了,需要参考的伙伴可以来看看安庆市2020届高三第三次模拟考试文科数学试题及答案本次联考的其他科目的