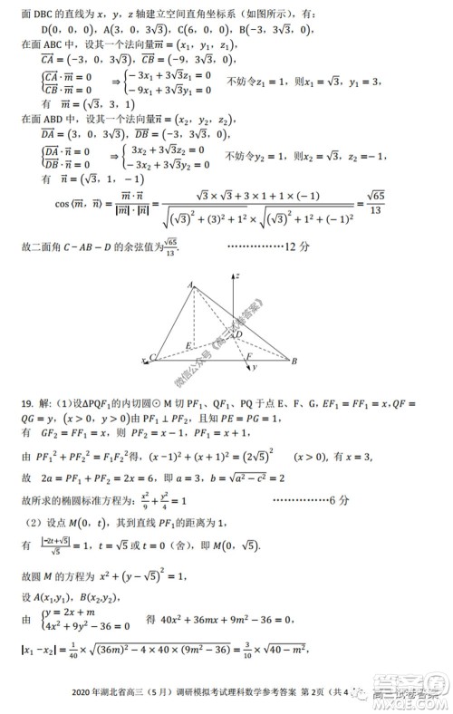
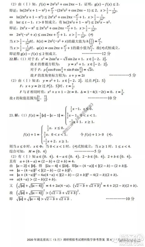
2020年湖北省高三5月调研模拟考试理科数学试题及答案小编已经整理在答案了,需要参考的伙伴可以来看看

本次联考的其他科目的答案小编也有整理,需要的伙伴可以直接在答案圈高三年级搜索查看










2020年湖北省高三5月调研模拟考试语文试题及答案
2020-05-20 08:37:32
2020年湖北省高三5月调研模拟考试语文试题及答案小编已经整理在答案了,需要参考的伙伴可以来看看2020年湖北省高三5月调研模拟考试语文试题及答案本次联考的其他科目的答案小
江西省红色七校2020届高三第二次联考理科数学试题及答案
2020-05-19 16:36:49
江西省红色七校2020届高三第二次联考理科数学试题及答案小编已经整理在答案了,需要参考的伙伴可以来看看江西省红色七校2020届高三第二次联考理科数学试题及答案本次联考的其
安庆市2020届高三第三次模拟考试理科数学试题及答案
2020-05-19 15:51:42
安庆市2020届高三第三次模拟考试理科数学试题及答案小编已经整理在答案了,需要参考的伙伴可以来看看安庆市2020届高三第三次模拟考试理科数学试题及答案本次联考的其他科目的
新疆2020年高三年级第三次诊断性测试理科数学试题及答案
2020-05-19 11:16:49
新疆2020年高三年级第三次诊断性测试理科数学试题及答案小编已经整理在答案了,需要参考的伙伴可以来看看新疆2020年高三年级第三次诊断性测试理科数学试题及答案本次联考的其