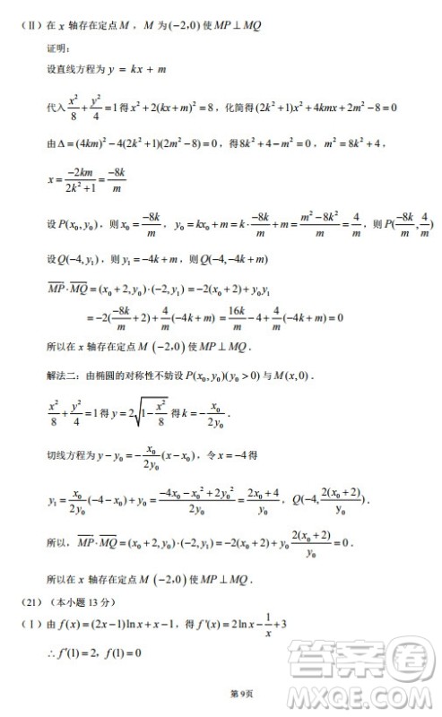
小编这次收集整理的是北京市房山区2019-2020高三年级第一学期期末考试数学的答案,在做完之后可以来答案圈了解一下,看看自己做的对不对!

答案如下,仅供参考!






北京市大兴区2020届高三年级第一学期期末考试语文答案
2020-01-13 11:38:22
北京市大兴区的高三年级第一学期期末考试语文的答案已经收集整理好了,其他区的直接站内搜区名就可以直接搜石景山区等等,非常方便!北京市大兴区2020届高三年级第一学期期末考试
北京市昌平区2019-2020高三年级第一学期期末考试语文答案
2020-01-13 11:27:50
小编这次收集整理的是昌平区的2020届高三第一学期的期末考试语文答案,做完了的可以来答案圈看看,北京其他区的主科考试的答案也有收集整理!北京市昌平区2019-2020高三年级第一
北京市石景山区2019-2020高三年级第一学期期末考试语文答案
2020-01-13 11:22:05
小编这次收集整理的是北京市石景山区2019-2020高三年级第一学期期末考试语文的答案,其他学科的直接站内搜石景山就可以了,当然其他区的也有收集整理,快来一起看看吧!北京市石景
北京市石景山区2019-2020高三年级第一学期期末考试数学答案
2020-01-13 11:04:09
小编这次收集整理的是北京市石景山区2019-2020高三年级第一学期期末考试数学的答案,在做完之后可以来答案圈了解一下,看看自己做的对不对!北京市石景山区2019-2020高三年级第一